【药物名称】
化学结构式(Chemical Structure):
参考文献No.672290
标题:Design, synthesis, and activity of a novel series of factor Xa inhibitors: Optimization of arylamidine groups
作者:Phillips, G.; Guilford, W.J.; Buckman, B.O.; Davey, D.D.; Eagen, K.A.; Koovakkat, S.; Liang, A.; McCarrick, M.A.; Mohan, R.; Ng, H.P.; Pinkerton, M.; Subramanyam, B.; Ho, E.; Trinh, L.; Whitlow, M.; Wu, S.; Xu, W.; Morrissey, M.M.
来源:J Med Chem 2002,45(12),2484
合成路线图解说明:

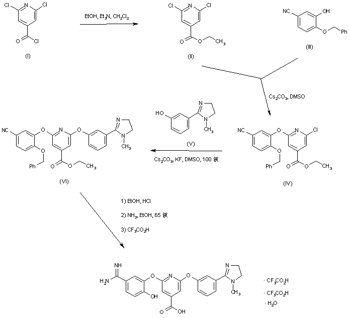
2,6-Dichloropyridine-4-carbonyl chloride (I) is reacted with ethanol and triethylamine to produce the ethyl ester (II). Subsequent displacement of one chloride group of (II) with 5-cyano-2-(benzyloxy)phenol (III) in the presence of Cs2CO3 in DMSO affords the diaryl ether (IV). The remaining chloride group of (IV) is then displaced with the imidazoline phenol (V), yielding the bis(aryloxy) pyridine (VI). Conversion of the cyano group of (VI) into the target amidine is accomplished under standard Pinner conditions. The title compound is finally purified by reversed-phase preparative HPLC in the presence of trifluoroacetic acid, producing the title bis-trifluoroacetate salt.

Drug Information Express,Drug R&D,Chemical Database,Patent Search.
Copyright © 2006-2026 Drug Future. All rights reserved.Contact Us