【药物名称】ODE-CDV
化学结构式(Chemical Structure):
参考文献No.54134
标题:Phosphonate cpds.
作者:Hostetler, K.Y.; Kini, G.D.; Beadle, J.R. (University of California, San Diego)
来源:EP 1233770; WO 0139724
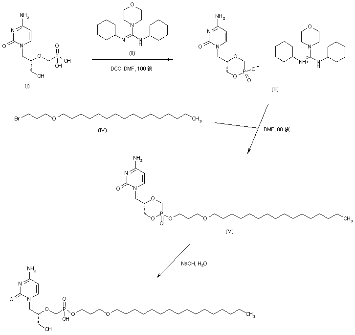
合成路线图解说明:

Cyclization of the hydroxy phosphonic acid (I) (Cidofovir) with DCC in the presence of N,N-dicyclohexyl-4-morpholine carboxamidine (DCMC) (II) led to the cyclic phosphonate DCMC salt (III). Subsequent alkylation of (III) with 1-bromo-3-hexadecyloxypropane (IV) provided the corresponding phosphate ester (V). Finally, ring opening of the cyclic phosphonate was accomplished by treatment with aqueous NaOH.

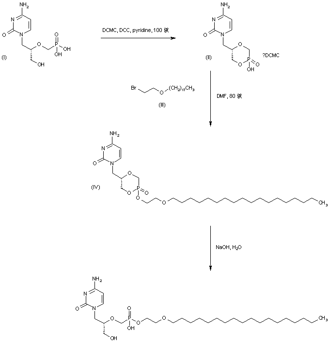
合成路线图解说明:

Cidofovir (I) is converted to the cyclic phosphonate derivative (II) upon treatment with dicyclohexylcarbodiimide (DCC) in the presence of N,N-dicyclohexyl-4-morpholinecarboxyamidine (DCMC). Reaction of (II) with 1-bromo-2-(octadecyloxy)ethane (III) provides the corresponding phosphonate ester (IV). Finally, opening of the cyclic phosphonate to furnish the title compound is accomplished by treatment with 0,5 M NaOH

参考文献No.666984
标题:Enhanced inhibition of orthopoxvirus replication in vitro by alkoxyalkyl esters of cidofovir and cyclic cidofovir
作者:Kern, E.R.; Hartline, C.; Harden, E.; Keith, K.; Rodriguez, N.; Beadle, J.R.; Hostetler, K.Y.
来源:Antimicrob Agents Chemother 2002,46(4),991
合成路线图解说明:

Cidofovir (I) is converted to the cyclic phosphonate derivative (II) upon treatment with dicyclohexylcarbodiimide (DCC) in the presence of N,N-dicyclohexyl-4-morpholinecarboxyamidine (DCMC). Reaction of (II) with 1-bromo-2-(octadecyloxy)ethane (III) provides the corresponding phosphonate ester (IV). Finally, opening of the cyclic phosphonate to furnish the title compound is accomplished by treatment with 0,5 M NaOH

Drug Information Express,Drug R&D,Chemical Database,Patent Search.
Copyright © 2006-2026 Drug Future. All rights reserved.Contact Us