【药物名称】
化学结构式(Chemical Structure):
参考文献No.672289
标题:Antineoplastic agents. 465. Structural modification of resveratrol: Sodium resverastatin phosphate
作者:Pettit, G.R.; Grealish, M.P.; Jung, M.K.; Hamel, E.; Pettit, R.K.; Chapuis, J.-C.; Schmidt, J.M.
来源:J Med Chem 2002,45(12),2534
合成路线图解说明:

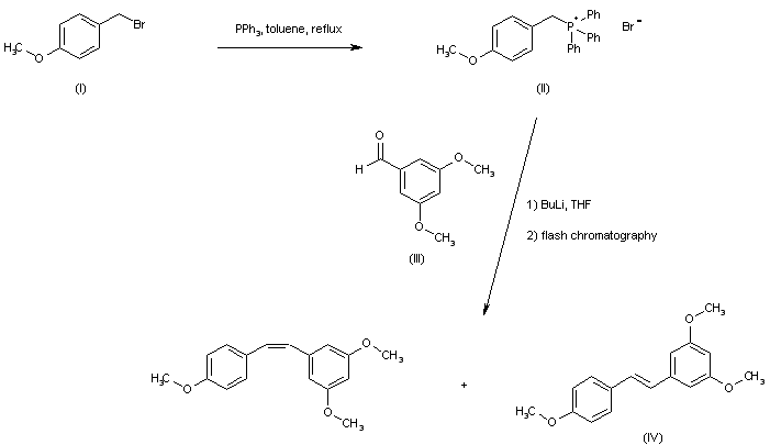
4-Methoxybenzyl bromide (I) is condensed with triphenylphosphine in refluxing toluene to produce the phosphonium salt (II). Subsequent Wittig condensation of (II) with 3,5-dimethoxybenzaldehyde (III) gives rise to a mixture of the title Z-stilbene and its E-isomer (IV), which can be separated by means of flash chromatography.

Drug Information Express,Drug R&D,Chemical Database,Patent Search.
Copyright © 2006-2026 Drug Future. All rights reserved.Contact Us