【药物名称】
化学结构式(Chemical Structure):
参考文献No.672286
标题:Synthesis and structure-activity relationship of 2-aminobenzophenone derivatives as antimitotic agents
作者:Liou, J.-P.; Chang, C.W..; Song, J.S.; Yang, Y.N.; Yeh, C.F.; Tseng, H.Y.; Lo, Y.K.; Chang, Y.L.; Chang, C.M.; Hsieh, H.P.
来源:J Med Chem 2002,45(12),2556
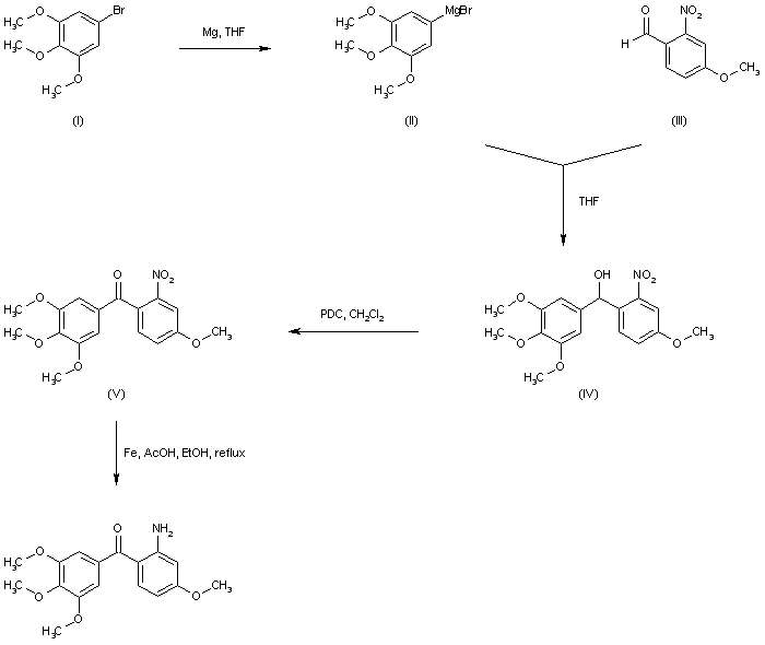
合成路线图解说明:

Treatment of 3,4,5-trimethoxybromobenzene (I) with Mg in THF produces the corresponding Grignard reagent (II), which is condensed with 4-methoxy-2-nitrobenzaldehyde (III) to furnish the benzhydrol derivative (IV). Oxidation of benzhydrol (IV) by means of pyridinium dichromate leads to benzophenone (V). The nitro group of (V) is then reduced to the corresponding amine employing iron powder in AcOH.

Drug Information Express,Drug R&D,Chemical Database,Patent Search.
Copyright © 2006-2026 Drug Future. All rights reserved.Contact Us