【药物名称】YM-176770
化学结构式(Chemical Structure):
参考文献No.672309
标题:Synthesis and pharmacological evaluation of 5-(4-biphenyl)-3-methyl-4-phenyl-1,2,4-triazole derivatives as a novel class of selective antagonists for the human vasopressin V1A receptor
作者:Kakefuda, A.; Suzuki, T.; Tobe, T.; Tsukada, J.; Tahara, A.; Sakamoto, S.; Tsukamoto, S.
来源:J Med Chem 2002,45(12),2589
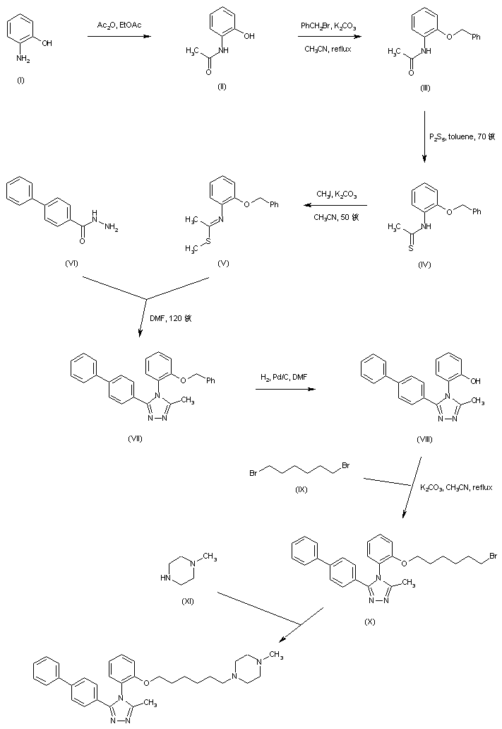
合成路线图解说明:

Acetylation of o-aminophenol (I) gives o-hydroxy acetanilide (II), which is then protected as the benzyl ether (III) with benzyl bromide and K2CO3. Treatment of acetamide (III) with P2S5 affords the corresponding thioamide (IV), and subsequent S-methylation of (IV) gives rise to the thioimidate (V). Cyclization of thioimidate (V) with 4-biphenylcarboxylic acid hydrazide (VI) in hot DMF leads to the triazole derivative (VII). After benzyl group hydrogenolysis in (VII), the resultant phenol (VIII) is alkylated with 1,6-dibromohexane (IX) to produce the bromohexyl ether (X). Finally, condensation of bromide (X) with N-methylpiperazine (XI) furnishes the title compound.

Drug Information Express,Drug R&D,Chemical Database,Patent Search.
Copyright © 2006-2026 Drug Future. All rights reserved.Contact Us