【药物名称】CP-409069
化学结构式(Chemical Structure):
参考文献No.45654
标题:Glucocorticoid receptor modulators
作者:Liu, K.K.-C.; Morgan, B.P.; Dow, R.L.; Swick, A.G. (Pfizer Inc.)
来源:EP 1175383; WO 0066522
合成路线图解说明:

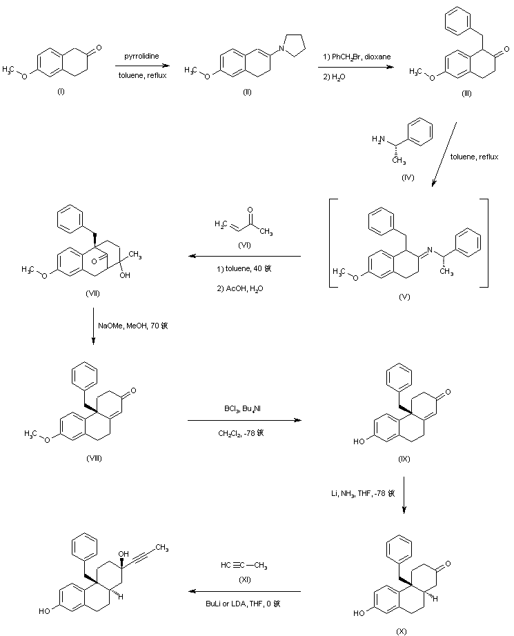
6-Methoxy-2-tetralone (I) was condensed with pyrrolidine (II) to produce enamine (III). Alkylation of (III) with benzyl bromide, followed by hydrolysis of the enamine function, furnished the 1-benzylnaphthalenone (IV). After formation of the chiral enamine (VI) with (S)-alpha-methylbenzylamine (V), enantioselective Michael addition of methyl vinyl ketone (VII) provided the (R)-diketone (VIII), which underwent ring closure to the phenanthrene derivative (IX) upon treatment with NaOMe. Methyl ether cleavage by using boron trichloride in the presence of tetrabutylammonium iodide afforded phenol (X). The conjugated ketone system of (X) was diastereoselectively reduced to the trans-phenanthrenone (XI) by means of lithium in liquid ammonia. Addition of the lithium acetylide of propyne (XII) to the ketone (XI) produced a diastereomeric mixture of carbinols from which the desired isomer (XIII) was isolated by flash chromatography. The phenol group of (XIII) was then converted to the aryl triflate (XIV) by reaction with trifluoromethanesulfonic anhydride and 2,6-lutidine.

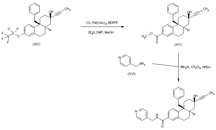
合成路线图解说明:

Palladium-catalyzed carbonylation of aryl triflate (XIV) under carbon monoxide atmosphere in the presence of methanol gave rise to the phenanthrenecarboxylate ester (XV). The ester group of (XV) was finally displaced with 4-(aminomethyl)pyridine (XVI) using trimethylaluminum catalyst to generate the target amide.

合成路线图解说明:

6-Methoxy-2-tetralone (I) is converted into enamine (II) by treatment with pyrrolidine in toluene by azeotropic removal of water. Alkylation of (II) with benzyl bromide, followed by hydrolysis of the enamine, provides the 1-benzyl tetralone (III). This is then condensed with (S)-alpha-methylbenzylamine (IV), and the resultant imine (V) is treated with methyl vinyl ketone (VI) to furnish, after hydrolysis of the chiral auxiliary, the tricyclic ketone (VII). Rearrangement of (VII) in the presence of NaOMe results in the phenanthrenone (VIII). Cleavage of the methyl ether of (VIII) is accomplished by treatment with boron trichloride and tetrabutylammonium iodide to form phenol (IX). Reduction of enone (IX) with lithium metal in liquid ammonia leads to the saturated ketone (X). Finally, addition of the lithium acetylide of propyne (XI) to the ketone (X) affords the title carbinol adduct.

参考文献No.672310
标题:Discovery of potent, nonsteroidal, and highly selective glucocorticoid receptor antagonists
作者:Morgan, B.P.; Swick, A.G.; Hargrove, D.M.; LaFlamme, J.A.; Moynihan, M.S.; Carroll, R.S.; Martin, K.A.; Lee, E.; Decosta, D.; Bordner, J.
来源:J Med Chem 2002,45(12),2417
合成路线图解说明:

6-Methoxy-2-tetralone (I) is converted into enamine (II) by treatment with pyrrolidine in toluene by azeotropic removal of water. Alkylation of (II) with benzyl bromide, followed by hydrolysis of the enamine, provides the 1-benzyl tetralone (III). This is then condensed with (S)-alpha-methylbenzylamine (IV), and the resultant imine (V) is treated with methyl vinyl ketone (VI) to furnish, after hydrolysis of the chiral auxiliary, the tricyclic ketone (VII). Rearrangement of (VII) in the presence of NaOMe results in the phenanthrenone (VIII). Cleavage of the methyl ether of (VIII) is accomplished by treatment with boron trichloride and tetrabutylammonium iodide to form phenol (IX). Reduction of enone (IX) with lithium metal in liquid ammonia leads to the saturated ketone (X). Finally, addition of the lithium acetylide of propyne (XI) to the ketone (X) affords the title carbinol adduct.

Drug Information Express,Drug R&D,Chemical Database,Patent Search.
Copyright © 2006-2026 Drug Future. All rights reserved.Contact Us