【药物名称】
化学结构式(Chemical Structure):
参考文献No.55321
标题:3,9-Diazabicyclo[3.3.1]nonane derivs. with analgesic activity
作者:Cignarella, G.; Pinna, G.A. (Centro Consortile Ricerche Neuropsicofarmacologiche a.r.l)
来源:EP 1259511; WO 0160823
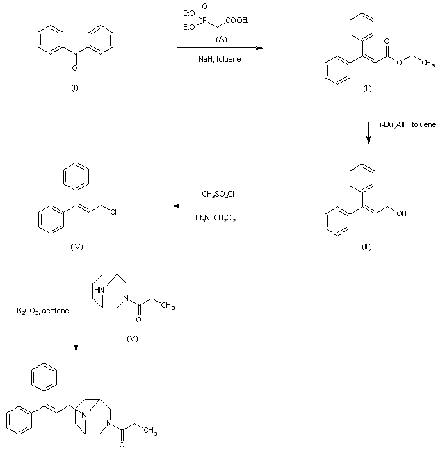
合成路线图解说明:

Horner-Emmons condensation of benzophenone (I) with triethyl phosphonoacetate provides the unsaturated ester (II), which is further reduced with DIBAL in toluene to the allylic alcohol (III). Reaction of alcohol (III) with methanesulfonyl chloride and Et3N leads to chloride (IV). Finally, alkylation of 3-propionyl-3,9-diazabicyclo[3.3.1]nonane (V) with the allyl chloride (IV) furnishes the title compound.

参考文献No.668965
标题:N-3(9)-Arylpropenyl-N-9(3)-propionyl-3,9-diazabicyclo[3.3.1]nonanes as mu-opioid receptor agonists. Effects on mu-affinity of arylalkenyl chain modifications
作者:Pinna, G.A.; Cignarella, G.; Loriga, G.; Murineddu, G.; Mussinu, J.-M.; Ruiu, S.; Fadda, P.; Fratta, W.
来源:Bioorg Med Chem 2002,10(6),1929
合成路线图解说明:

Horner-Emmons condensation of benzophenone (I) with triethyl phosphonoacetate provides the unsaturated ester (II), which is further reduced with DIBAL in toluene to the allylic alcohol (III). Reaction of alcohol (III) with methanesulfonyl chloride and Et3N leads to chloride (IV). Finally, alkylation of 3-propionyl-3,9-diazabicyclo[3.3.1]nonane (V) with the allyl chloride (IV) furnishes the title compound.

Drug Information Express,Drug R&D,Chemical Database,Patent Search.
Copyright © 2006-2026 Drug Future. All rights reserved.Contact Us