【药物名称】ORG-25819
化学结构式(Chemical Structure):
参考文献No.668961
标题:2-O-substituted cyclodextrins as reversal agents for the neuromuscular blocker rocuronium bromide
作者:Tarver, G.J.; Grove, S.J.A.; Buchanan, K.; Bom, A.; Cooke, A.; Rutherford, S.J.; Zhang, M.Q.
来源:Bioorg Med Chem 2002,10(6),1819
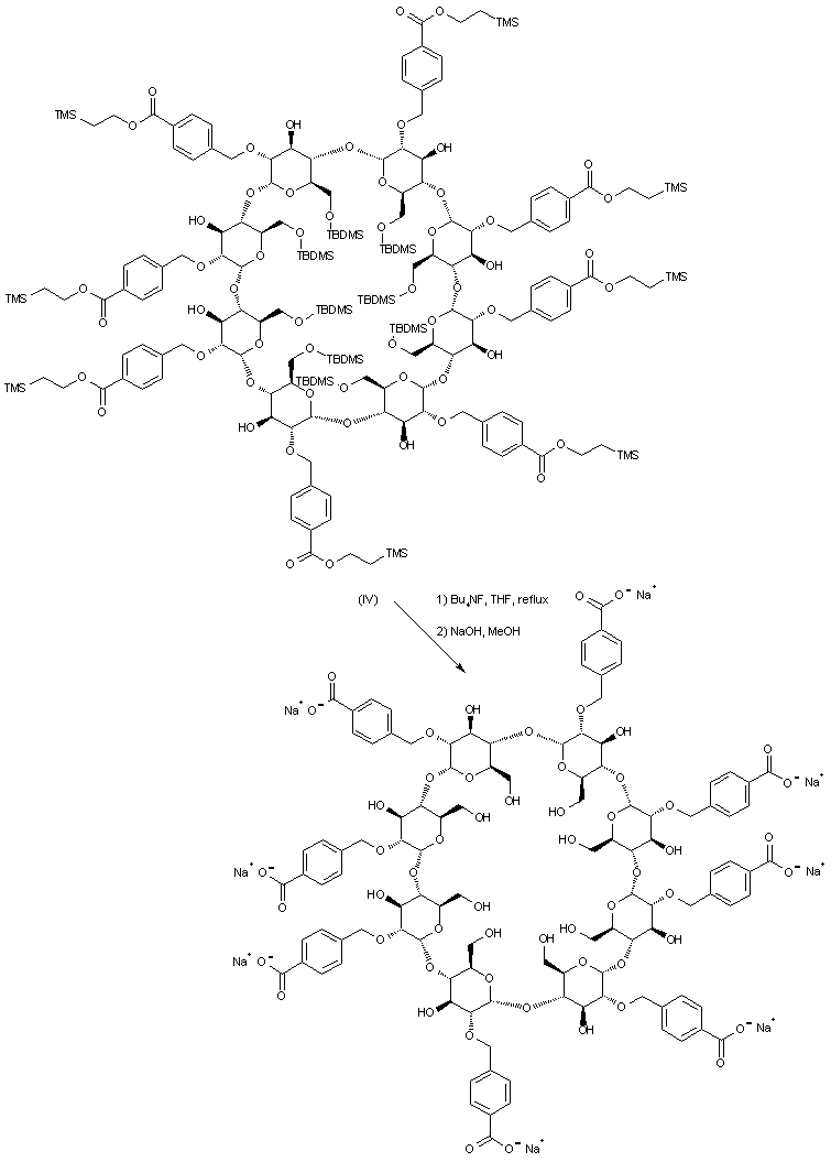
合成路线图解说明:

Coupling of 4-(chloromethyl)benzoyl chloride (I) with 2-(trimethylsilyl)ethanol, followed by displacement of the benzylic chloride with NaI in acetone leads to 2-(trimethylsilyl)ethyl 4-(iodomethyl)benzoate (II). The 6-O-silylated gamma-cyclodextrin (III) is then condensed with (iodomethyl)benzoate (II) in the presence of BaO/Ba(OH)2 to produce the per-2-O-alkylated cyclodextrin (IV).

合成路线图解说明:

Simultaneous deprotection of the 6-O-t-butyldimethylsilyl and the (trimethylsilyl)ethyl ester groups of (IV) is accomplished by treatment with tetrabutylammonium fluoride in refluxing THF. The resultant cyclodextrin octa-carboxylic acid is finally isolated after conversion to the corresponding octa-sodium salt.

Drug Information Express,Drug R&D,Chemical Database,Patent Search.
Copyright © 2006-2026 Drug Future. All rights reserved.Contact Us