【药物名称】
化学结构式(Chemical Structure):
参考文献No.668960
标题:Design and synthesis of novel tetra-peptide motilin agonists
作者:Haramura, M.; Tsuzuki, K.; Okamachi, A.; Yogo, K.; Ikuta, M.; Kozono, T.; Takanashi, H.; Murayama, E.
来源:Bioorg Med Chem 2002,10(6),1805
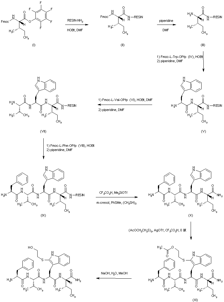
合成路线图解说明:

N-Fmoc-L-Isoleucine pentafluorophenyl ester (I) is attached to p-methylbenzhydrylamine resin in the presence of HOBt in DMF to provide the protected isoleucine-bound resin (II). Removal of the N-Fmoc protecting group of (II) is then effected by treatment with piperidine in DMF, to furnish the free amine (III). Subsequent coupling of (III) with N-Fmoc-L-tryptophan pentafluorophenyl ester (IV), followed by deprotection with piperidine/DMF affords the dipeptide resin (V). Further coupling and deprotection cycles with N-Fmoc-L-valine-OPfp (VI) and with N-Fmoc-L-phenylalanine-OPfp (VIII) lead to the peptide resins (VII) and (IX), respectively. Cleavage of resin (IX) to furnish the tetrapeptide amide (X) is accomplished by treatment with trifluoroacetic acid and trimethylsilyl triflate. Then, sulfanylation of the indole ring of (X) with bis-(2-acetoxyethyl) disulfide in the presence of silver triflate produces indolyl sulfide (XI). The acetate ester group of (XI) is finally hydrolyzed under alkaline conditions to furnish the title compound

Drug Information Express,Drug R&D,Chemical Database,Patent Search.
Copyright © 2006-2026 Drug Future. All rights reserved.Contact Us