【药物名称】
化学结构式(Chemical Structure):
参考文献No.62374
标题:Certain aminopyridinecarbonyl guanidines
作者:Cragoe, E.J. Jr. (Merck & Co., Inc.)
来源:DE 1963317; FR 2026469; US 3586688
合成路线图解说明:

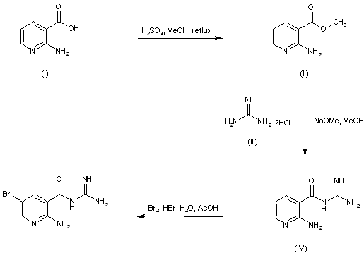
Fischer esterification of 2-aminonicotinic acid (I) leads to methyl ester (II). Subsequent treatment of ester (II) with a methanolic solution of guanidine (III) provides (2-aminonicotinoyl)guanidine (IV). Finally, bromination of (IV) employing Br2/HBr affords the title compound.

Drug Information Express,Drug R&D,Chemical Database,Patent Search.
Copyright © 2006-2026 Drug Future. All rights reserved.Contact Us