【药物名称】
化学结构式(Chemical Structure):
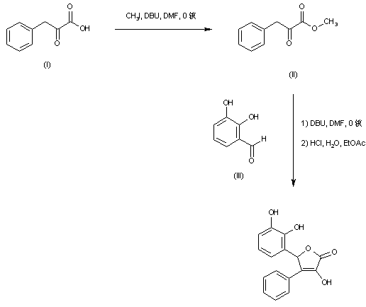
参考文献No.668955
标题:Novel 4,5-diaryl-3-hydroxy-2(5H)-furanones as anti-oxidants and anti-inflammatory agents
作者:Weber, V.; Coudert, P.; Rubat, C.; Duroux, E.; Vallee-Goyet, D.; Gardette, D.; Bria, M.; Albuisson, E.; Leal, F.; Gramain, J.C.; Couquelet, J.; Madesclaire, M.
来源:Bioorg Med Chem 2002,10(6),1647
合成路线图解说明:

Methylation of phenylpyruvic acid (I) with iodomethane and DBU affords the methyl phenylpyruvate (II). Subsequent condensation of keto ester (II) with 2,3-dihydroxybenzaldehyde (III) in the presence of DBU, followed by acidic quenching provides the target furanone derivative

Drug Information Express,Drug R&D,Chemical Database,Patent Search.
Copyright © 2006-2026 Drug Future. All rights reserved.Contact Us