【药物名称】
化学结构式(Chemical Structure):
参考文献No.668526
标题:A novel approach towards studying non-genotoxic enediynes as potential anticancer therapeutics
作者:Hakimelahi, G.H.; Gassanov, G.Sh.; Hsu, M.H.; Hwu, J.R.; Hakimelahi, S.
来源:Bioorg Med Chem 2002,10(5),1321
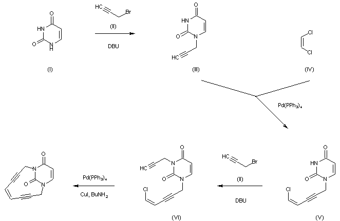
合成路线图解说明:

Alkylation of uracil (I) with propargyl bromide (II) in the presence of DBU affords the N1-alkylated product (III). Palladium-catalyzed coupling of the terminal alkyne (III) with cis-1,2-dichloroethene (IV) furnishes the chlorovinyl adduct (V). Subsequent alkylation at the N3-position of (V) with propargyl bromide (II) and DBU leads to the open-chain enediyne (VI). This is finally cyclized to the target bicyclic compound in the presence of Pd(PPh3)4, CuI and butylamine.

Drug Information Express,Drug R&D,Chemical Database,Patent Search.
Copyright © 2006-2026 Drug Future. All rights reserved.Contact Us