【药物名称】
化学结构式(Chemical Structure):
参考文献No.668146
标题:Synthesis and pharmacology of potential site-specific cocaine abuse treatment agents: The role of the phenyl group in 2-substituted-6-aminobicyclo[2.2.2]octanes
作者:Coons, S.; et al.
来源:Med Chem Res 2002,11(1),24
合成路线图解说明:

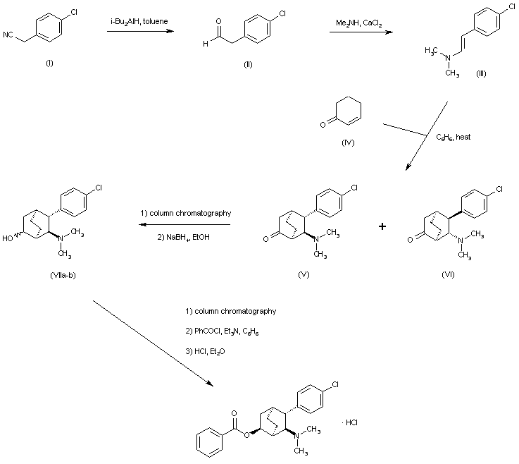
(4-Chlorophenyl)acetonitrile (I) is reduced with DIBAL to the aldehyde (II), which is subsequently converted to enamine (III) by treatment with dimethylamine in the presence of CaCl2 as the dehydrating agent. Condensation of enamine (III) with 2-cyclohexenone (IV) produces a mixture of the trans endo/exo substituted bicycloalkanones (V) and (VI), separable by column chromatography. Reduction of the endo isomer (V) with NaBH4 yields the bicyclic amino alcohol as a diastereomeric mixture. After chromatographic isolation, the desired isomer is esterified with benzoyl chloride to furnish the corresponding amino ester, which is finally converted to the title hydrochloride salt.

Drug Information Express,Drug R&D,Chemical Database,Patent Search.
Copyright © 2006-2026 Drug Future. All rights reserved.Contact Us