【药物名称】(1RS,1'S)-PEAQX
化学结构式(Chemical Structure):
参考文献No.668137
标题:5-Phosphonomethylquinoxalinediones as competitive NMDA receptor antagonist with a preference for the human 1A/2A, rather than 1A/2B receptor composition
作者:Auberson, Y.P.; Allgeier, H.; Bischoff, S.; Lingenhoehl, K.; Moretti, R.; Schmutz, M.
来源:Bioorg Med Chem Lett 2002,12(7),1099
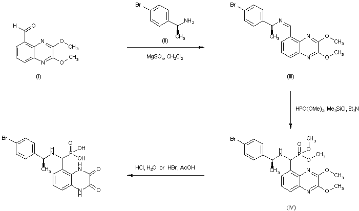
合成路线图解说明:

Condensation of the quinoxaline aldehyde (I) with (S)-4-bromo-alpha-methylbenzylamine (II) produces imine (III). To this is added phosphinic acid dimethyl trimethylsilyl ester, generated in situ from dimethyl phosphite and chlorotrimethylsilane, to furnish the alpha-amino phosphonate (IV). Finally, hydrolysis of the methyl phosphonate and methoxy groups of (IV) under acidic conditions leads to the title compound

Drug Information Express,Drug R&D,Chemical Database,Patent Search.
Copyright © 2006-2026 Drug Future. All rights reserved.Contact Us