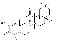
【药物名称】CNDDO
化学结构式(Chemical Structure):
参考文献No.67033
标题:Inhibitors and methods of use thereof
作者:Honda, T.; Honda, Y.; Gribble, G.W.; Sporn, M.B.; Suh, N. (Dartmouth College)
来源:US 2004002463
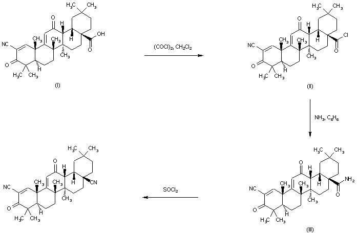
合成路线图解说明:

Treatment of 2-cyano-3,12-dioxooleana-1,9(11)-dien-28-oic acid (I) with oxalyl chloride in dichloromethane affords the corresponding acid chloride (II), which is converted into amide (III) by treatment with ammonia gas in benzene. Dehydration of amide (III) with thionyl chloride then produces the target nitrile. (1,2)

合成路线图解说明:

Treatment of 2-cyano-3,12-dioxooleana-1,9(11)-dien-28-oic acid (I) with oxalyl chloride produces the corresponding acid chloride (II), which is condensed with imidazole to yield the target acyl imidazolide. (1,2)

参考文献No.668142
标题:A novel dicyanotriterpenoid, 2-cyano-3,12-dioxooleana-1,9(11)-dien-28-onitrile, active at picomolar concentrations for inhibition of nitric oxide production
作者:Honda, T.; Honda, Y.; Favaloro, F.G. Jr.; Gribble, G.W.; Suh, N.; Place, A.E.; Rendi, M.H.; Sporn, M.B.
来源:Bioorg Med Chem Lett 2002,12(7),1027
合成路线图解说明:

Treatment of 2-cyano-3,12-dioxooleana-1,9(11)-dien-28-oic acid (I) with oxalyl chloride in dichloromethane affords the corresponding acid chloride (II), which is converted into amide (III) by treatment with ammonia gas in benzene. Dehydration of amide (III) with thionyl chloride then produces the target nitrile. (1,2)

合成路线图解说明:

Treatment of 2-cyano-3,12-dioxooleana-1,9(11)-dien-28-oic acid (I) with oxalyl chloride produces the corresponding acid chloride (II), which is condensed with imidazole to yield the target acyl imidazolide. (1,2)

Drug Information Express,Drug R&D,Chemical Database,Patent Search.
Copyright © 2006-2026 Drug Future. All rights reserved.Contact Us