【药物名称】
化学结构式(Chemical Structure):
参考文献No.668144
标题:Antitumor agents. Part 3: Synthesis and cytotoxicity of new trans-stilbene benzenesulfonomide derivatives
作者:Yang, L.-M.; Lin, S.-J.; Hsu, F.-L.; Yang, T.-H.
来源:Bioorg Med Chem Lett 2002,12(7),1013
合成路线图解说明:

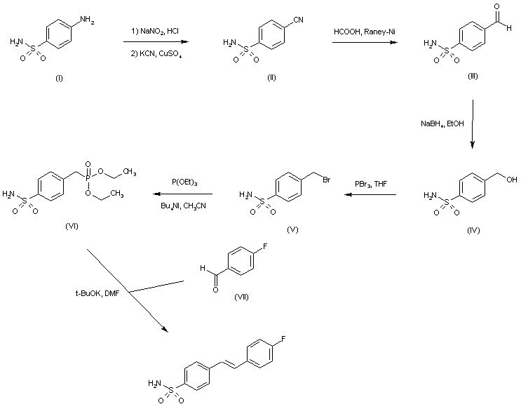
Diazotization of sulfanilamide (I), followed by treatment of the resultant diazonium salt with potassium cyanide/copper sulfate under Sandmeyer conditions, leads to nitrile (II). Stephen reduction of (II) with Raney nickel alloy in 75% aqueous formic acid gives the benzaldehyde (III), which is further reduced to the benzyl alcohol (IV) using NaBH4 in ethanol. Treatment of alcohol (IV) with PBr3 provides the benzyl bromide (V). This is then subjected to Arbuzov reaction with triethyl phosphite to produce phosphonate (VI). Finally, Wittig-Horner condensation of (VI) with 4-fluorobenzaldehyde (VII) furnishes the target stilbene derivative.

Drug Information Express,Drug R&D,Chemical Database,Patent Search.
Copyright © 2006-2026 Drug Future. All rights reserved.Contact Us