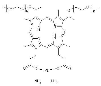
【药物名称】
化学结构式(Chemical Structure):
参考文献No.667053
标题:Hematoporphyrin-derived soluble porphyrin-platinum conjugates with combined cytotoxic and phototoxic antitumor activity
作者:Lottner, C.; Bart, K.C.; Bernhardt, G.; Brunner, H.
来源:J Med Chem 2002,45(10),2064
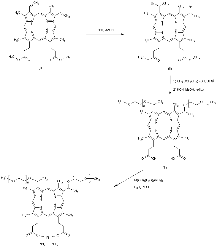
合成路线图解说明:

Protoporphyrin dimethyl ester (I) is treated with HBr in HOAc to produce dibromide (II). Displacement of the bromide groups of (II) by poly(ethyleneglycol)-750-mono-methyl ether, followed by alkaline hydrolysis of the concomitantly transesterified ester groups, furnishes the porphyrin di-ether (III). This is finally complexed with diammine(diaqua)platinum(II) hydroxide to yield the title compound.

Drug Information Express,Drug R&D,Chemical Database,Patent Search.
Copyright © 2006-2026 Drug Future. All rights reserved.Contact Us