【药物名称】
化学结构式(Chemical Structure):
参考文献No.667051
标题:Design and synthesis of novel 5-substituted acyclic pyrimidine nucleosides as potent and selective inhibitors of hepatitis B virus
作者:Kumar, R.; Nath, M.; Tyrrell, D.L.
来源:J Med Chem 2002,45(10),2032
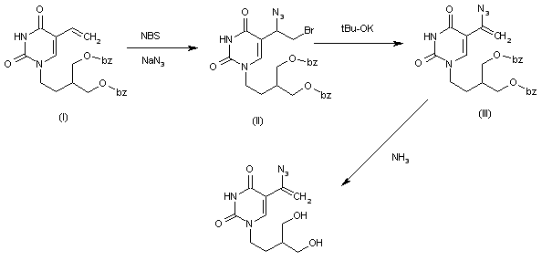
合成路线图解说明:

The reaction of the 5-vinyluracil derivative (I) with NBS and NaN3 in dimethoxyethane gives the 1-azido-2-bromoethyluracil derivative (II), which is treated with potassium tert-butoxide in THF to yield the 1-azidovinyluracil compound (III). Finally, this compound is debenzoylated with ammonia in methanol to afford the target dihydroxylated uracil derivative.

Drug Information Express,Drug R&D,Chemical Database,Patent Search.
Copyright © 2006-2026 Drug Future. All rights reserved.Contact Us