【药物名称】DD-612
化学结构式(Chemical Structure):
参考文献No.54960
标题:N-Alkylglycine trimeres capable of protecting neurons against excitotoxic aggressions and compsns. containing said trimeres
作者:Felipo Orts, V.; Montoliu Felix, C.; Ferrer Montiel, A.; Planells Cases, R.; Merino Fernandez, J.M.; Perez Paya, E.; Sanchez Baeza, F.; Humet, M.; Messeguer Peypoch, A. (DiverDrugs SL)
来源:WO 0228885
合成路线图解说明:

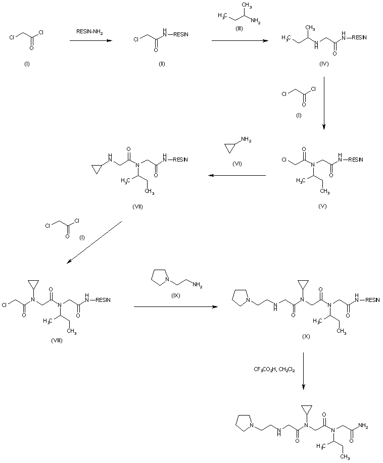
The title compound is prepared by solid phase synthesis employing a Rink amide resin. Acylation of the resin with chloroacetyl chloride (I) affords the chloroacetyl resin (II). Subsequent chloride displacement with s-butylamine (III) provides the aminoacid-bound resin (IV). A new acylation of (IV) with chloroacetyl chloride (I) yields the chloroacetamide (V), which is then displaced by cyclopropylamine (VI), yielding the dipeptide derivative (VII). Then, a further coupling of (VII) with acid chloride (I), followed by displacement of the resultant chloroacetamide resin (VIII) with N-(2-aminoethyl)pyrrolidine (IX) gives rise to the tripeptide resin (X). Finally, cleavage of the dipeptide amide from the solid support is accomplished by treatment with trifluoroacetic acid in CH2Cl2

参考文献No.666286
标题:Prevention of in vivo excitotoxicity by a family of trialkylglycines, a novel class of neuroprotectants
作者:Montoliu, C.; Humet, M.; Canales, J.J.; Burda, J.; Planells-Cases, R.; Sanchez-Baeza, F.; Carbonell, T.; Perez-Paya, E.; Messeguer, A.; Ferrer-Montiel, A.; Felipo, V.
来源:J Pharm Exp Ther 2002,301(1),29
合成路线图解说明:

The title compound is prepared by solid phase synthesis employing a Rink amide resin. Acylation of the resin with chloroacetyl chloride (I) affords the chloroacetyl resin (II). Subsequent chloride displacement with s-butylamine (III) provides the aminoacid-bound resin (IV). A new acylation of (IV) with chloroacetyl chloride (I) yields the chloroacetamide (V), which is then displaced by cyclopropylamine (VI), yielding the dipeptide derivative (VII). Then, a further coupling of (VII) with acid chloride (I), followed by displacement of the resultant chloroacetamide resin (VIII) with N-(2-aminoethyl)pyrrolidine (IX) gives rise to the tripeptide resin (X). Finally, cleavage of the dipeptide amide from the solid support is accomplished by treatment with trifluoroacetic acid in CH2Cl2

Drug Information Express,Drug R&D,Chemical Database,Patent Search.
Copyright © 2006-2026 Drug Future. All rights reserved.Contact Us