【药物名称】BILS-103BS
化学结构式(Chemical Structure):
参考文献No.33798
标题:Phenyl thiazole derivs. with anti-herpes virus properties
作者:Hargrave, K.D.; Simoneau, B.; Faucher, A.-M.; Thavonekham, B.; Grygon, C.A.; Crute, J.J. (Boehringer Ingelheim (Canada) Ltd.; Boehringer Ingelheim Pharmaceuticals Inc.)
来源:EP 0871619; JP 2000502702; US 6057451; WO 9724343
合成路线图解说明:

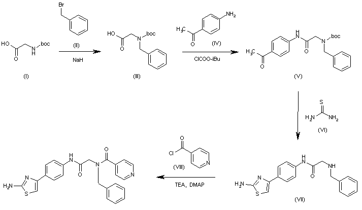
The N-alkylation of N-(tert-butoxycarbonyl)glycine (I) with benzyl bromide (II) by means of NaH in THF gives N-benzyl-N-(tert-butoxycarbonyl)glycine (III), which is condensed with 4-aminoacetophenone (IV) by means of isobutyl chloroformate and TEA in dichloromethane yielding the corresponding glycinamide (V). The cyclization of (V) with thiourea (VI) by means of I2 in refluxing isopropanol affords, after work up, the N-benzyl-glycinamide (VII), which is finally acylated with pyridine-4-carbonyl chloride by means of TEA and DMAP in dichloromethane.

合成路线图解说明:

The acylation of N-[4-(4-aminophenyl)-2-thiazolyl]carbamic acid tert-butyl ester (I) with bromoacetyl bromide (II) gives the bromoacetamide (III), which is then condensed with (S)-alpha-methylbenzylamine (IV) to yield the glycinamide derivative (V). The acylation of (V) with 4-pyridylcarbonyl chloride affords the protected precursor (VI), which is finally deprotected to provide the target BILS 179 BS.

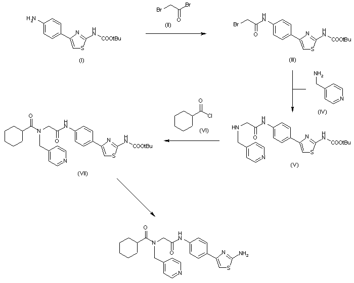
合成路线图解说明:

The acylation of N-[4-(4-aminophenyl)-2-thiazolyl]carbamic acid tert-butyl ester (I) with bromoacetyl bromide (II) gives the bromoacetamide (III), which is then condensed with 4-pyridylmethylamine (IV) to yield the glycinamide derivative (V). The acylation of (V) with cyclohexanecarbonyl chloride affords the protected precursor (VI), which is finally deprotected to provide the target BILS 103 BS.

参考文献No.54410
标题:Antiherpes virus cpds. and methods for their preparation and use
作者:Hargrave, K.D.; Simoneau, B.; Faucher, A.-M.; Crute, J.J.; Thavonekham, B.; Grygon, C. (Boehringer Ingelheim (Canada) Ltd.; Boehringer Ingelheim Pharmaceuticals Inc.)
来源:US 6288091
合成路线图解说明:

The acylation of N-[4-(4-aminophenyl)-2-thiazolyl]carbamic acid tert-butyl ester (I) with bromoacetyl bromide (II) gives the bromoacetamide (III), which is then condensed with (S)-alpha-methylbenzylamine (IV) to yield the glycinamide derivative (V). The acylation of (V) with 4-pyridylcarbonyl chloride affords the protected precursor (VI), which is finally deprotected to provide the target BILS 179 BS.

合成路线图解说明:

The acylation of N-[4-(4-aminophenyl)-2-thiazolyl]carbamic acid tert-butyl ester (I) with bromoacetyl bromide (II) gives the bromoacetamide (III), which is then condensed with 4-pyridylmethylamine (IV) to yield the glycinamide derivative (V). The acylation of (V) with cyclohexanecarbonyl chloride affords the protected precursor (VI), which is finally deprotected to provide the target BILS 103 BS.

参考文献No.663158
标题:Herpes simplex virus helicase-primase inhibitors are active in animal models of human disease
作者:Crute, J.J.; Grygon, C.A.; Hargrave, K.D.; Simoneau, B.; Faucher, A.M.; Bolger, G.; Kibler, P.; Liuzzi, M.; Cordingley, M.G.
来源:Nat Med 2002,8(4),386
合成路线图解说明:

The acylation of N-[4-(4-aminophenyl)-2-thiazolyl]carbamic acid tert-butyl ester (I) with bromoacetyl bromide (II) gives the bromoacetamide (III), which is then condensed with (S)-alpha-methylbenzylamine (IV) to yield the glycinamide derivative (V). The acylation of (V) with 4-pyridylcarbonyl chloride affords the protected precursor (VI), which is finally deprotected to provide the target BILS 179 BS.

合成路线图解说明:

The acylation of N-[4-(4-aminophenyl)-2-thiazolyl]carbamic acid tert-butyl ester (I) with bromoacetyl bromide (II) gives the bromoacetamide (III), which is then condensed with 4-pyridylmethylamine (IV) to yield the glycinamide derivative (V). The acylation of (V) with cyclohexanecarbonyl chloride affords the protected precursor (VI), which is finally deprotected to provide the target BILS 103 BS.

Drug Information Express,Drug R&D,Chemical Database,Patent Search.
Copyright © 2006-2026 Drug Future. All rights reserved.Contact Us