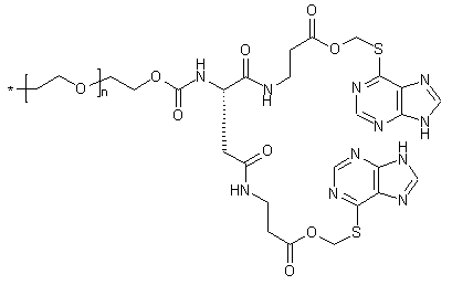
【药物名称】
化学结构式(Chemical Structure):
参考文献No.663838
标题:PEG prodrugs of 6-mercaptopurine (6-MP) - I: Synthesis and in vitro studies
作者:Choe, Y.H.; et al.
来源:Proc Am Assoc Cancer Res 2002,43
合成路线图解说明:

Treatment of N-Boc-beta-alanine (I) with bromochloromethane gives the chloromethyl ester (II), which is further converted to the iodomethyl analogue (III) under the Finkelstein halide exchange reaction conditions. Condensation of iodomethyl ester (III) with 6-mercaptopurine (IV) provides adduct (V). The N-Boc group of (V) is then removed employing trifluoroacetic acid to furnish the amine compound (VI). Finally, EDC-mediated coupling of amine (VI) with the polyethyleneglycol-bound aspartic acid (VII) affords the title mercaptopurine prodrug.

Drug Information Express,Drug R&D,Chemical Database,Patent Search.
Copyright © 2006-2026 Drug Future. All rights reserved.Contact Us