【药物名称】
化学结构式(Chemical Structure):
参考文献No.664985
标题:Synthesis of N-[4-[ethyl-2-(2,4-diaminofuro[2,3-d]pyrimidin-5-yl)ethyl]benzoyl]-L-glutamic acid as an antifolate
作者:Gangjee, A.; Zeng, Y.; Mcguire, J.J.; Kisliuk, R.L.
来源:J Med Chem 2002,45(9),1942
合成路线图解说明:

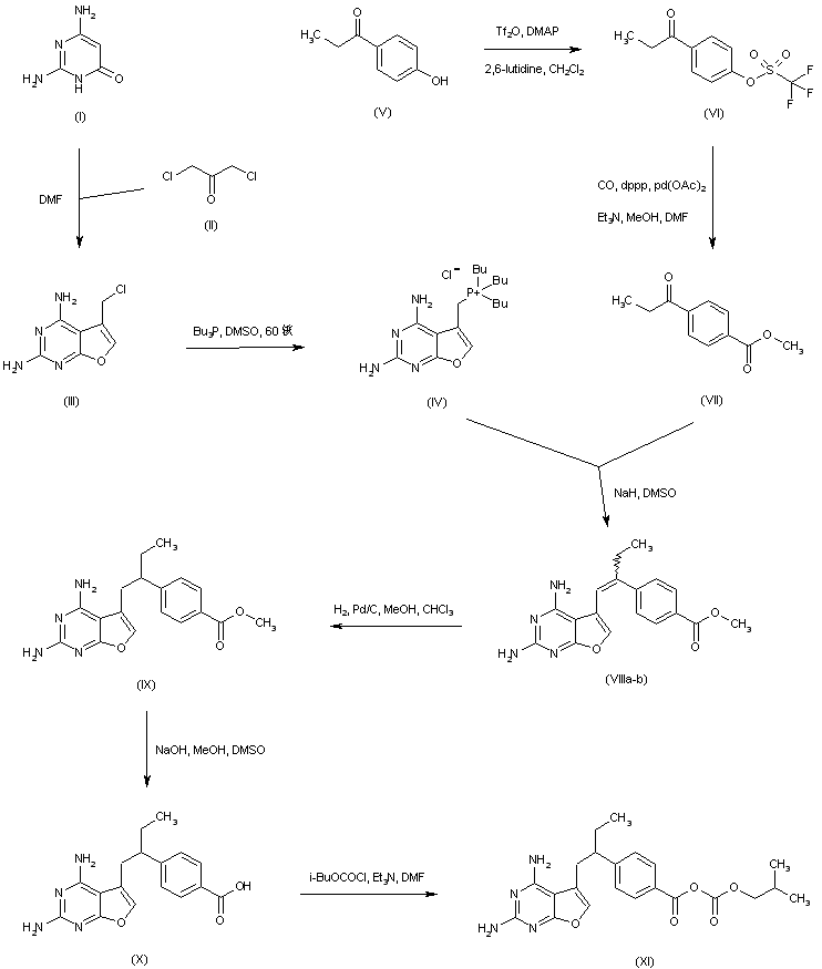
Condensation of 2,6-diaminopyrimidin-4-one (I) with 1,3-dichloroacetone (II) affords the furopyrimidine (III). Subsequent reaction of (III) with tributylphosphine provides the phosphonium salt (IV). Treatment of 4-hydroxypropiophenone (V) with trifluoromethanesulfonic anhydride leads to the aryl triflate (VI). This is then subjected to palladium-catalyzed carbonylation under modified Gerlach's conditions to furnish ethyl 4-propionylbenzoate (VII). Wittig condensation between the phosphorane derived from (IV) and keto ester (VII) produces olefin (VIIIa-b) as a mixture of Z/E isomers. Subsequent hydrogenation of (VIIIa-b) over Pd/C gives (IX). The methyl ester group of (IX) is hydrolyzed under alkaline conditions to afford acid (X), which is then activated as the mixed anhydride (XI) with isobutyl chloroformate and triethylamine.

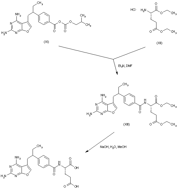
合成路线图解说明:

Condensation of the mixed anhydride (XI) with diethyl L-glutamate (XII) produces amide (XIII). The ethyl ester groups of (XIII) are finally hydrolyzed by means of NaOH to provide the title compound.

Drug Information Express,Drug R&D,Chemical Database,Patent Search.
Copyright © 2006-2026 Drug Future. All rights reserved.Contact Us