【药物名称】FAUC-327
化学结构式(Chemical Structure):
参考文献No.666176
标题:Di- and trisubstituted pyrazolo[1,5-a]pyridine derivatives: Synthesis, dopamine receptor binding and ligand efficacy
作者:L鯾er, S.; Aboul-Fadl, T.; H黚ner, H.; Gmeiner, P.
来源:Bioorg Med Chem Lett 2002,12(4),633
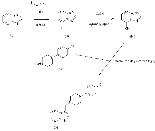
合成路线图解说明:

Lithiation of 8-azaindole (I) with n-BuLi, followed by treatment with 1,2-diiodoethane (II) affords 7-iodopyrazolopyridine (III), which is then treated with CuCN, Pd2(dba)3 and diphenylphosphinoferrocene (dppf) in refluxing dioxane to provide pyrazolo[1,5-a]pyridine-7-carbonitrile (IV). Finally, Mannich condensation of (IV) with N-(4-chlorophenyl)piperazine (V) and formaldehyde gives rise to the title piperazinomethyl derivative.

参考文献No.803937
标题:Effective and variable functionalization of pyrazolo[1,5-a]pyridines involving palladium-catalyzed coupling reactions
作者:Aboul-Fadl, T.; L鯾er, S.; Gmeiner, P.
来源:Synthesis 2000,12(Suppl. 3),1727-1732
合成路线图解说明:

Lithiation of 8-azaindole (I) with n-BuLi, followed by treatment with 1,2-diiodoethane (II) affords 7-iodopyrazolopyridine (III), which is then treated with CuCN, Pd2(dba)3 and diphenylphosphinoferrocene (dppf) in refluxing dioxane to provide pyrazolo[1,5-a]pyridine-7-carbonitrile (IV). Finally, Mannich condensation of (IV) with N-(4-chlorophenyl)piperazine (V) and formaldehyde gives rise to the title piperazinomethyl derivative.

Drug Information Express,Drug R&D,Chemical Database,Patent Search.
Copyright © 2006-2026 Drug Future. All rights reserved.Contact Us