【药物名称】
化学结构式(Chemical Structure):
参考文献No.54871
标题:Substd. beta-alanine derivs. as cell adhesion inhibitors
作者:Hagmann, W.K.; Durette, P.L.; Mumford, R.A.; Kopka, I.E.; Mills, S.G.; MacCoss, M.; Magriotis, P.A. (Merck & Co., Inc.)
来源:WO 0071572
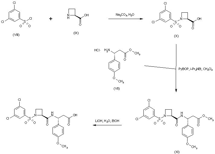
合成路线图解说明:

Condensation of 3,5-dichlorobenzenesulfonyl chloride (VIII) with (S)-azetidine-2-carboxylic acid (IX) under Schotten-Baumann conditions gives sulfonamide (X). This is subsequently coupled with aminoester (VII) by means of PyBOP to afford amide (XI). The methyl ester group of (XI) is finally hydrolyzed to the target carboxylic acid employing LiOH.

参考文献No.666178
标题:The discovery of acylated beta-amino acids as potent and orally bioavailable VLA-4 antagonists
作者:Lin, L.S.; Kopka, I.E.; Mumford, R.A.; Magriotis, P.A.; Lanza, T. Jr.; Durette, P.L.; Kamenecka, T.; Young, D.N.; de Laszlo, S.E.; McCauley, E.; Riper, G.V.; Kidambi, U.; Egger, L.A.; Tong, X.; Lyons, K.A.; Vincent, S.H.; Stearns, R.A.; et al.
来源:Bioorg Med Chem Lett 2002,12(4),611
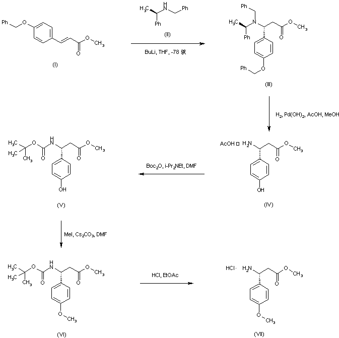
合成路线图解说明:

The Michael addition of the chiral amine (II) to methyl 4-(benzyloxy)cinnamate (I) in the presence of butyllithium produces diastereoselectively the amino ester (III) as the major isomer. After catalytic hydrogenolysis of the benzyl groups of (III), the resultant amino ester (IV) is converted to the N-Boc derivative (V) upon treatment with Boc2O. O-alkylation of phenol (V) with iodomethane in the presence of Cs2CO3 yields methyl ether (VI). The N-Boc group of (VI) is subsequently removed under acidic conditions to furnish (VII).

合成路线图解说明:

Condensation of 3,5-dichlorobenzenesulfonyl chloride (VIII) with (S)-azetidine-2-carboxylic acid (IX) under Schotten-Baumann conditions gives sulfonamide (X). This is subsequently coupled with aminoester (VII) by means of PyBOP to afford amide (XI). The methyl ester group of (XI) is finally hydrolyzed to the target carboxylic acid employing LiOH.

Drug Information Express,Drug R&D,Chemical Database,Patent Search.
Copyright © 2006-2026 Drug Future. All rights reserved.Contact Us