【药物名称】
化学结构式(Chemical Structure):
参考文献No.666182
标题:Studies on quinazolinones as dual inhibitors of Pgp and MRP1 in multidrug resistance
作者:Wang, S.; Ryder, H.; Pretswell, I.; Depledge, P.; Milton, J.; Hancox, T.C.; Dale, I.; Dangerfield, W.; Charlton, P.; Faint, R.; Dodd, R.; Hassan, S.
来源:Bioorg Med Chem Lett 2002,12(4),571
合成路线图解说明:

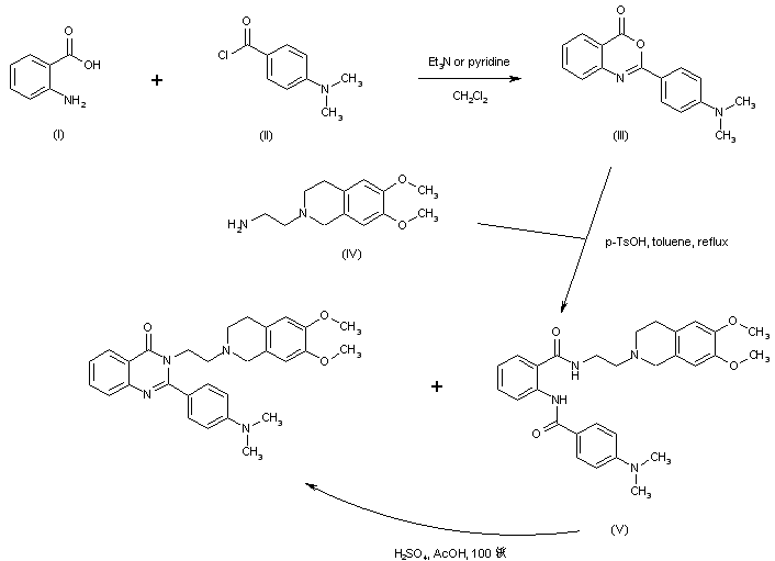
The title compound can be synthesized by two routes. Condensation of anthranilic acid (I) with acid chloride (II) provides benzooxazinone (III). Refluxing of (III) with amine (IV) in the presence of p-toluenesulfonic acid yields a mixture of the target quinazolinone and the uncyclized diamide (V), which can be cyclized to the title compound by heating in H2SO4/HOAc.

合成路线图解说明:

The anthranilic amide (I) is converted to the corresponding iminophosphorane (II) by treatment with triphenylphosphine, hexachloroethane and triethylamine. Subsequent condensation of (II) with acid chloride (III) gives rise to the desired quinazolinone.

Drug Information Express,Drug R&D,Chemical Database,Patent Search.
Copyright © 2006-2026 Drug Future. All rights reserved.Contact Us