【药物名称】
化学结构式(Chemical Structure):
参考文献No.666185
标题:Design and synthesis of peptide-based carboxylic acid-containing transition-state inhibitors of human neutrophil elastase
作者:Sato, F.; Inoue, Y.; Omodani, T.; Imano, K.; Okazaki, H.; Takemura, T.; Komiya, M.
来源:Bioorg Med Chem Lett 2002,12(4),551
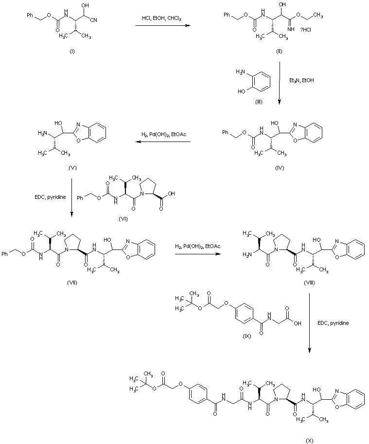
合成路线图解说明:

N-Cbz-L-Valinal cyanohydrin (I) is converted into imidate (II) and then condensed with 2-aminophenol (III) to afford benzoxazole (IV). Removal of the N-Cbz group of (IV) with H2 and Pd/C provides amine (V), which is then coupled to N-Cbz-valyl proline (VI), yielding the dipeptide amide (VII). After hydrogenolysis of the N-Cbz protecting group of (VII), the free amine (VIII) is coupled to the acid fragment (IX) by means of EDC/pyridine to furnish (X).

合成路线图解说明:

Oxidation of the secondary alcohol of (X) employing the Dess-Martin periodinane reagent leads to ketone (XI). The t-butyl ester group of (XI) is finally cleaved in the presence of trifluoroacetic acid to generate the title compound.

Drug Information Express,Drug R&D,Chemical Database,Patent Search.
Copyright © 2006-2026 Drug Future. All rights reserved.Contact Us