【药物名称】LM-1669
化学结构式(Chemical Structure):
参考文献No.55006
标题:Trisubstd. benzenes linked to amides, esters and carboxylic acids as new cyclooxygenase II inhibitors
作者:Palomer Benet, A.; Maule髇 Casellas, D.; Garc韆 P閞ez, M.L.; Pascual Avellana, J.
来源:ES 2164564
合成路线图解说明:

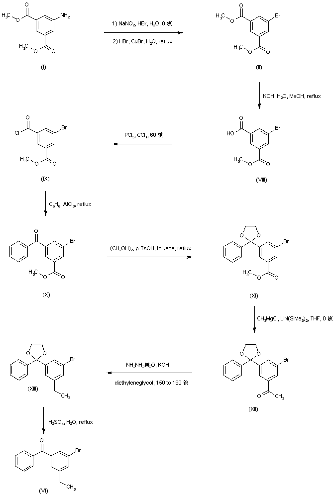
An alternative method for the preparation of the precursor 3-bromo-5-ethylbenzophenone (VI) has been reported. Diazotization of diethyl 5-aminoisophthalate (I), followed by treatment with HBr/CuBr furnishes the bromo isophthalate (II). Partial hydrolysis of diester (II) by means of KOH provides mono-acid (VIII), which is further converted to acid chloride (IX) with PCl5. Subsequent Friedel-Crafts condensation of (IX) with benzene in the presence of AlCl3 leads to benzophenone (X). After protection of ketone (X) as the ethylene ketal (XI), addition of methylmagnesium chloride to (XI) affords the acetyl compound (XII). This is subsequently reduced to the corresponding ethyl derivative (XIII) under Wolff-Kishner conditions. The key benzophenone precursor (VI) is then obtained by acidic hydrolysis of ketal (XIII).

参考文献No.666187
标题:Structure-based design of cyclooxygenase-2 selectivity into ketoprofen
作者:Palomer, A.; Pascual, J.; Cabr? M.; Borr鄐, L.; Gonz醠ez, G.; Aparici, M.; Carabaza, A.; Cabr? F.; Garc韆, M.L.; Maule髇, D.
来源:Bioorg Med Chem Lett 2002,12(4),533
合成路线图解说明:

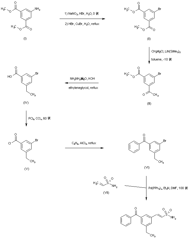
Dimethyl 5-aminoisophthalate (I) is converted into the corresponding 5-bromo derivative (II) via diazotization, followed by Sandmeyer reaction with HBr/CuBr. Addition of methylmagnesium chloride to one of the carboxylate groups of diester (II) leads to methyl 3-acetyl-5-bromobenzoate (III). Ketone (III) reduction with concomitant ester hydrolysis under Wolff-Kishner conditions produces 3-bromo-5-ethylbenzoic acid (IV), which is further chlorinated to (V) by using PCl5 in CCl4. Friedel-Crafts condensation of acid chloride (V) with benzene gives rise to the benzophenone (VI). Finally, palladium-catalyzed coupling of aryl bromide (VI) with vinylsulfonamide (VII) yields the title compound.

Drug Information Express,Drug R&D,Chemical Database,Patent Search.
Copyright © 2006-2026 Drug Future. All rights reserved.Contact Us