【药物名称】
化学结构式(Chemical Structure):
参考文献No.666191
标题:Phenolic modification as an approach to improve the pharmacology of the 3-acyloxy-2-benzylpropyl homovanillic amides and thioureas, a promising class of vanilloid receptor agonists and analgesics
作者:Lee, J.; Kang, M.-S.; Kim, K.-P.; Chung, S.-J.; Blumberg, P.M.; Yi, J.-B.; Park, Y.H.
来源:Bioorg Med Chem 2002,10(4),1171
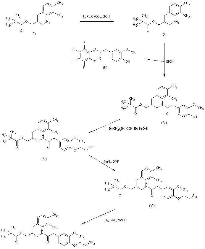
合成路线图解说明:

Hydrogenation of the previously reported azide (I) over Lindlar's catalyst produces amine (II), which is subsequently acylated by homovanillic acid pentafluorophenyl ester (III), yielding amide (IV). Alkylation of the phenolic hydroxyl of (IV) with 1,2-dibromoethane under phase-transfer conditions leads to the bromoethyl ether (V). Displacement of bromide (V) with NaN3 gives the alkyl azide (VI). The azido group of (VI) is finally reduced to the desired amine by catalytic hydrogenation over Pd/C.

Drug Information Express,Drug R&D,Chemical Database,Patent Search.
Copyright © 2006-2026 Drug Future. All rights reserved.Contact Us