【药物名称】
化学结构式(Chemical Structure):
参考文献No.666192
标题:Synthesis of a novel class of non-peptide NK-2 receptor ligand, derived from 1-phenyl-3-pyrrol-1-ylidan-2-carboxamides
作者:Guillon, J.; Dallemagne, P.; L間er, J.-M.; Sopkova, J.; Bovy, P.R.; Jarry, C.; Rault, S.
来源:Bioorg Med Chem 2002,10(4),1043
合成路线图解说明:

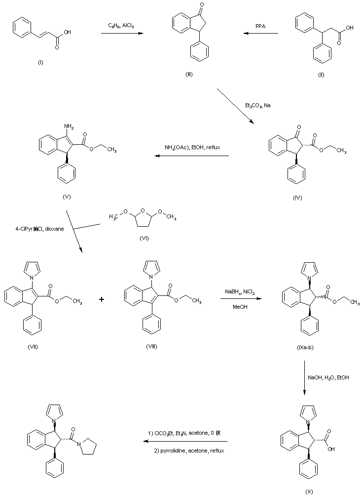
3-Phenylindan-1-one (III) is prepared by either condensation between cinnamic acid (I) and benzene in the presence of AlCl3 or by Friedel-Crafts cyclization of 3,3-diphenylpropionic acid (II) in hot polyphosphoric acid. Claisen condensation of indanone (III) with diethyl carbonate affords keto ester (IV), which is further converted to enamino ester (V) upon treatment with ammonium acetate in boiling EtOH. Clauson-Kaas condensation of aminoindene (V) with 2,5-dimethoxytetrahydrofuran (VI) provides a mixture of isomeric pyrrolyl indenes (VII) and (VIII). Subsequent reduction of this mixture with NaBH4/NiCl2 affords the epimeric mixture of indanes (IX). Alkaline hydrolysis of esters (IX) proceeds with epimerization at C-2 to furnish the trans-trans acid (X). After activation of acid (X) as the corresponding mixed anhydride with ethyl chloroformate, coupling with pyrrolidine yields the target amide.

Drug Information Express,Drug R&D,Chemical Database,Patent Search.
Copyright © 2006-2026 Drug Future. All rights reserved.Contact Us