【药物名称】NOBEX-AA-004, NAA-004, APAZA
化学结构式(Chemical Structure):
参考文献No.54355
标题:Immunoregulatory cpds. and derivs. and methods of treating diseases therewith
作者:Ekwuribe, N.N.; Riggs-Sauthier, J. (Nobex Corp.)
来源:WO 0218324
合成路线图解说明:

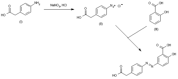
The diazotization of 2-(4-aminophenyl)acetic acid (I) by means of NaNO2 and HCl gives the diazonium salt (II), which is then condensed with 2-hydroxybenzoic acid (III) to provide the target azocompound.

参考文献No.686255
标题:Synthesis and activity of novel 5-aminosalicylic acid (5-ASA)-containing prodrugs for the treatment of inflammatory bowel disease
作者:Riggs-Sauthier, J.A.; Malson, E.; Harris, M.; Myung, S.; Liddle, R.; Ekwuribe, N.
来源:224th ACS Natl Meet (Aug 18 2002, Boston) 2002,Abst MEDI 305
合成路线图解说明:

The condensation of 4-nitrobenzenesulfonamide (I) with 4-chloro-4-oxobutyric acid methyl ester (II) in refluxing pyridine gives 4-(4-nitrobenzenesulfonamido)-4-oxobutyric acid methyl ester (III), which is reduced with Fe and NH4Cl in methanol/water to yield the corresponding 4-amino derivative (IV). The diazotization of (IV) with NaNO2 and HCl affords the diazonium salt (V), which is condensed with 2-hydroxybenzoic acid (VI) to provide the azo compound (VII). Finally, this compound is hydrolyzed with NaOH to the target succinamic acid derivative.

合成路线图解说明:

The diazotization of 2-(4-aminophenyl)acetic acid (I) by means of NaNO2 and HCl gives the diazonium salt (II), which is then condensed with 2-hydroxybenzoic acid (III) to provide the target azocompound.

Drug Information Express,Drug R&D,Chemical Database,Patent Search.
Copyright © 2006-2026 Drug Future. All rights reserved.Contact Us