【药物名称】
化学结构式(Chemical Structure):
参考文献No.44786
标题:Drugs containing phosphoric acid derivs. as the active ingredient
作者:Matsui, T.; Ohmawari, N. (Ono Pharmaceutical Co., Ltd.)
来源:EP 1156054; US 6495533; WO 0050429
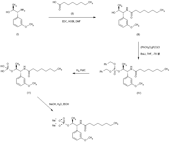
合成路线图解说明:

The chiral amino alcohol (I) is acylated with octanoic acid (II), using EDC and HOBt, to afford amide (III). The lithium alkoxide of (III) is then phosphorylated by dibenzyl phosphorochloridate, yielding phosphate ester (IV). Benzyl groups cleavage in (IV) is effected by catalytic hydrogenation of (IV) over Pd/C to produce acid (V), which is finally converted to the title disodium salt by treatment with NaOH in EtOH.

Drug Information Express,Drug R&D,Chemical Database,Patent Search.
Copyright © 2006-2026 Drug Future. All rights reserved.Contact Us