【药物名称】
化学结构式(Chemical Structure):
参考文献No.658465
标题:Soft cannabinoid analogues as potential anti-glaucoma agents
作者:Buchwald, A.; Derendorf, H.; Ji, F.; Nagaraja, N.Y.; Wu, W.M.; Bodor, N.
来源:Pharmazie 2002,57(2),108
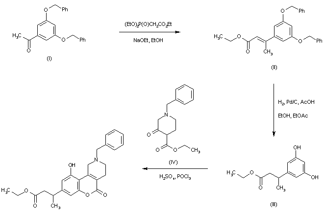
合成路线图解说明:

Horner-Emmons condensation of 3',5'-di(benzyloxy)acetophenone (I) with triethyl phosphonoacetate yields the unsaturated ester (II). Catalytic double bond hydrogenation in (II), with simultaneous benzyl group hydrogenolysis, leads to the substituted resorcinol (III). This is then subjected to Pechmann cyclization with ethyl 1-benzyl-3-oxopiperidine-4-carboxylate (IV) in the presence of H2SO4 and POCl3 to provide the target benzopyranopyridine compound.

Drug Information Express,Drug R&D,Chemical Database,Patent Search.
Copyright © 2006-2026 Drug Future. All rights reserved.Contact Us