【药物名称】
化学结构式(Chemical Structure):
参考文献No.663200
标题:A water soluble prodrug for Ro 31-7453 suitable for both oral delivery and continuous infusion
作者:Liu, E.A.; et al.
来源:Proc Am Assoc Cancer Res 2002,43Abst 1040
合成路线图解说明:

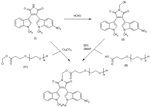
The reaction of Ro 31-7453 (I) (see scheme no. 28721501a) with formaldehyde in water at 125 C gives the N-hydroxymethyl derivative (II), which is esterified with 2-(polyoxyethylenoxy)acetic acid (III) by means of EDC and DMAP in dichloromethane to yield the target prodrug. Alternatively, the target prodrug can also be obtained by condensation of Ro 31-7453 (I) with 2-(polyoxyethylenoxy)acetic acid chloromethyl ester (IV) by means of Cs2CO3 in DMF.

Drug Information Express,Drug R&D,Chemical Database,Patent Search.
Copyright © 2006-2026 Drug Future. All rights reserved.Contact Us