【药物名称】AMCPy
化学结构式(Chemical Structure):
参考文献No.669073
标题:Acyl-protected hydroxylamines as spin label generators for EPR brain imaging
作者:Yordanov, A.T.; Yamada, K.-i.; Krishna, M.C.; Russo, A.; Yoo, J.; English, S.; Mitchell, J.B.; Brechbiel, M.W.
来源:J Med Chem 2002,45(11),2283
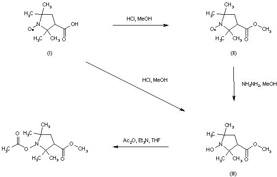
合成路线图解说明:

Bubbling dry HCl through a methanol solution of 1-oxyl-3-carboxy-2,2,5,5-tetramethylpyrrolidine (I) for a short period of time leads to the nitroxide radical methyl ester (II). Reduction of (II) to the hydroxylamine (III) is then accomplished by treatment with hydrazine in MeOH. Alternatively, upon treatment of (I) with HCl/MeOH for longer than 24 h, this undergoes both esterification and reduction to the hydroxylamine methyl ester (III). Further acetylation of hydroxylamine (III) by using Ac2O in the presence of Et3N yields the title compound.

Drug Information Express,Drug R&D,Chemical Database,Patent Search.
Copyright © 2006-2026 Drug Future. All rights reserved.Contact Us