【药物名称】AG-13736, AG-013736
化学结构式(Chemical Structure):
参考文献No.46860
标题:Indazole cpds. and pharmaceutical compsns. for inhibiting protein kinases, and methods for their use
作者:Luu, H.T.; Varney, M.D.; Palmer, C.L.; Reich, S.H.; Teng, M.; Bender, S.L.; Cripps, S.J.; Johnson, M.D.; Thomas, C.; Wallace, M.B.; Johnson, T.O. Jr.; Kania, R.S.; Borchardt, A.J.; Braganza, J.F.; (Agouron Pharmaceuticals, Inc.)
来源:JP 2003503481; WO 0102369
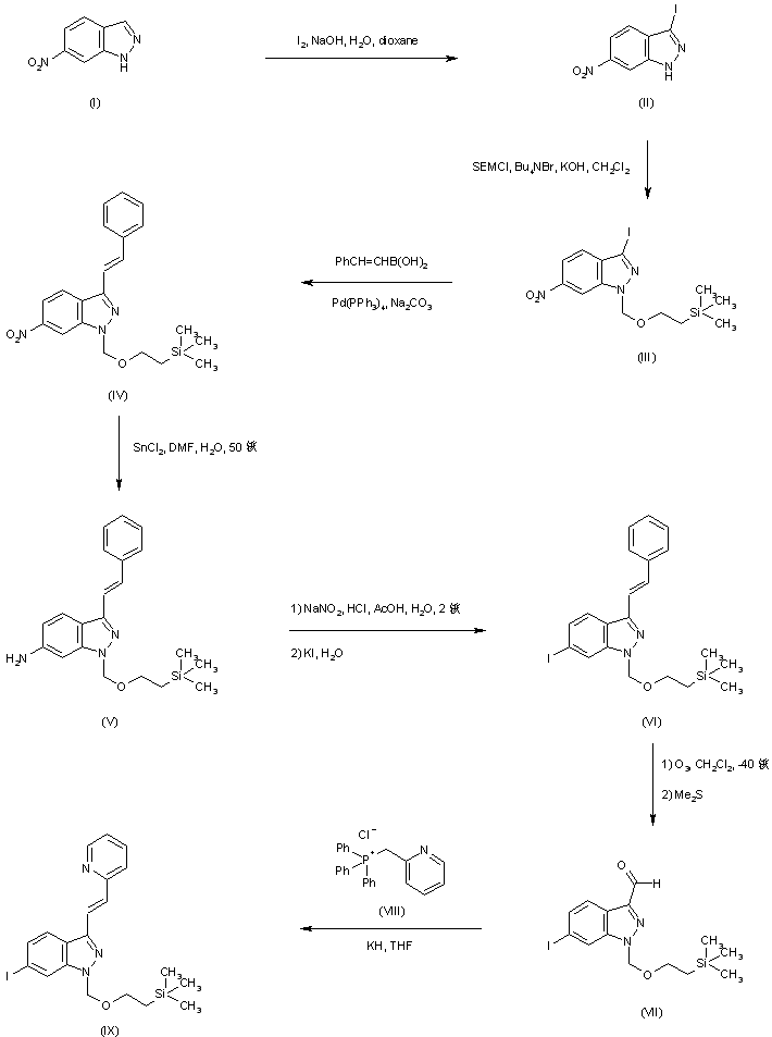
合成路线图解说明:

6-Nitroindazole (I) is iodinated to (II) employing iodine in the presence of NaOH. Subsequent reaction of 3-iodo-6-nitroindazole (II) with 2-(trimethylsilyl)ethoxymethyl chloride (SEMCl) under phase-transfer conditions furnishes the N-protected indazole (III). Suzuki coupling of iodoindazole (III) with styrylboronic acid gives rise to the styryl indazole (IV). The nitro group of (IV) is then reduced employing SnCl2 to produce amine (V). This is converted to the iodoindazole (VI) via diazotization, followed by reaction with KI. Ozonization of the styryl moiety of (VI) leads to aldehyde (VII). This is then subjected to Wittig reaction with 2-picolyltriphenylphosphonium chloride (VIII) to produce (IX).

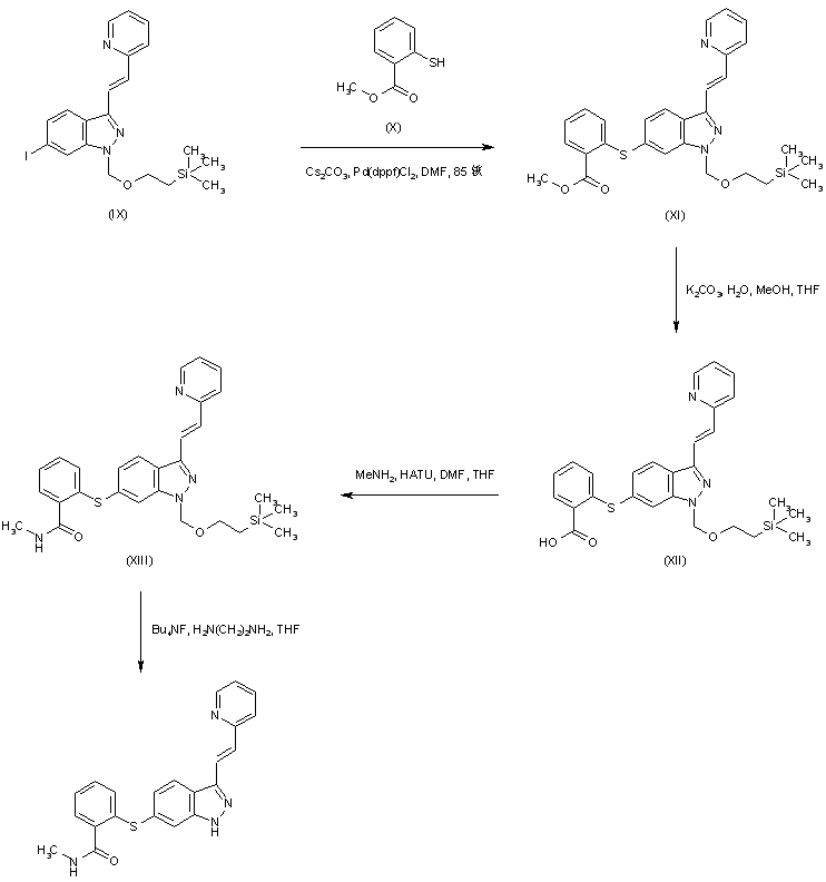
合成路线图解说明:

Displacement of iodoindazole (IX) with methyl 2-sulfanylbenzoate (X) in the presence of Cs2CO3 and Pd catalyst leads to thioether (XI). After alkaline hydrolysis of the methyl ester group of (XI), the resultant carboxylic acid (XII) is coupled to methylamine in the presence of HATU to furnish amide (XIII). Finally, removal of the SEM protecting group employing tetrabutylammonium fluoride and ethylenediamine yields the title compound.

Drug Information Express,Drug R&D,Chemical Database,Patent Search.
Copyright © 2006-2026 Drug Future. All rights reserved.Contact Us