【药物名称】
化学结构式(Chemical Structure):
参考文献No.662963
标题:N-Substituted 2-pyrazolines are opioid receptor ligands
作者:Semple, G.; et al.
来源:223rd ACS Natl Meet (April 7 2002, Orlando) 2002,Abst MEDI 43
合成路线图解说明:

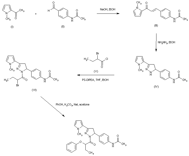
Aldol condensation between 2-acetyl-1-methylpyrrole (I) and p-acetamidobenzaldehyde (II) affords the chalcone (III). Cyclization of (III) with hydrazine in EtOH gives rise to the pyrazoline (IV). Subsequent acylation of (IV) with 2-bromobutyryl chloride (V) furnishes amide (VI). Then, displacement of the bromide ion of (VI) with phenol in the presence of K2CO3 and NaI provides the title compound

Drug Information Express,Drug R&D,Chemical Database,Patent Search.
Copyright © 2006-2026 Drug Future. All rights reserved.Contact Us