【药物名称】
化学结构式(Chemical Structure):
参考文献No.54906
标题:Substd. pyrroles
作者:Lovey, A.J.; Fotouhi, N.; Kong, N. (F. Hoffmann-La Roche AG)
来源:WO 0146178
合成路线图解说明:

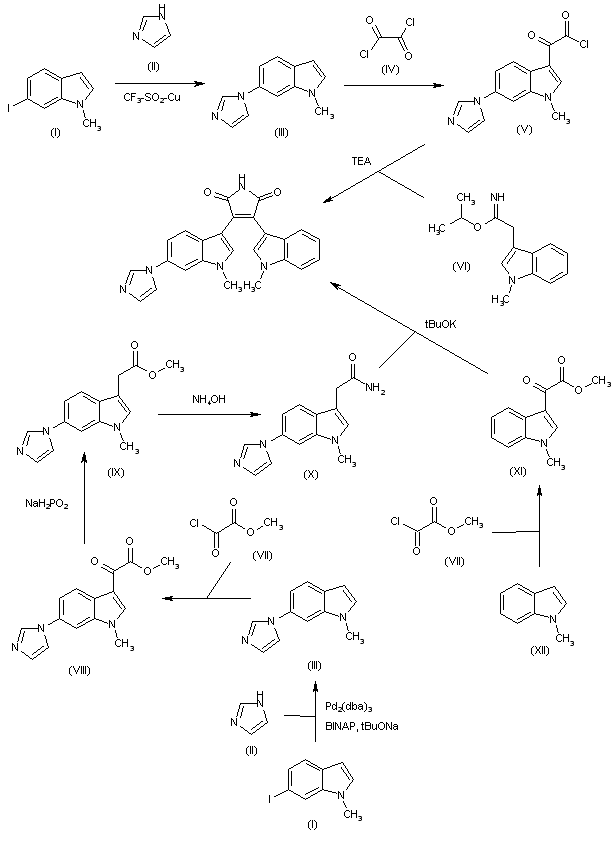
This compound has been obtained by two similar ways: The condensation of 6-iodo-1-methyl-1H-indole (I) with imidazole (II) by means of copper trifluoromethanesulfonate, 1,10-phenanthroline, Cs2CO3 and dibenzylideneacetone gives 6-(1-imidazolyl)-1-methyl-1H-indole (III), which is condensed with oxalyl chloride (IV) in dichloromethane to yield the adduct (V). Finally, this compound is cyclized with 2-(1-methyl-1H-indol-3-yl)acetimidic acid isopropyl ester (VI) by means of TEA in dichloromethane to afford the target pyrrolinedione. Alternatively, indole (I) and imidazole (II) are condensed by means of Pd2(dba)3, BINAP and tBu-ONa to give 6-(1-imidazolyl)-1-methyl-1H-indole (III), which is condensed with methoxalyl chloride (VII) in dichloromethane to yield the adduct (VIII). The reduction of (VIII) with NaH2PO2 affords the methyl acetate derivative (IX), which is treated with NH4OH to provide the acetamide derivative (X). Finally, this compound is cyclized with the methoxalyl derivative (XI) (obtained by condensation of 1-methyl-1H-indole (XII) with methoxalyl chloride (VII)) by means of tBu-ONa in THF to afford the target pyrrolinedione.

参考文献No.663205
标题:Design and synthesis of novel orally bioavailable, water soluble bisindolylmaleimides as cell cycle inhibitors
作者:Kong, N.; Lovey, A.; Specian, A.; et al.
来源:Proc Am Assoc Cancer Res 2002,43
合成路线图解说明:

This compound has been obtained by two similar ways: The condensation of 6-iodo-1-methyl-1H-indole (I) with imidazole (II) by means of copper trifluoromethanesulfonate, 1,10-phenanthroline, Cs2CO3 and dibenzylideneacetone gives 6-(1-imidazolyl)-1-methyl-1H-indole (III), which is condensed with oxalyl chloride (IV) in dichloromethane to yield the adduct (V). Finally, this compound is cyclized with 2-(1-methyl-1H-indol-3-yl)acetimidic acid isopropyl ester (VI) by means of TEA in dichloromethane to afford the target pyrrolinedione. Alternatively, indole (I) and imidazole (II) are condensed by means of Pd2(dba)3, BINAP and tBu-ONa to give 6-(1-imidazolyl)-1-methyl-1H-indole (III), which is condensed with methoxalyl chloride (VII) in dichloromethane to yield the adduct (VIII). The reduction of (VIII) with NaH2PO2 affords the methyl acetate derivative (IX), which is treated with NH4OH to provide the acetamide derivative (X). Finally, this compound is cyclized with the methoxalyl derivative (XI) (obtained by condensation of 1-methyl-1H-indole (XII) with methoxalyl chloride (VII)) by means of tBu-ONa in THF to afford the target pyrrolinedione.

Drug Information Express,Drug R&D,Chemical Database,Patent Search.
Copyright © 2006-2026 Drug Future. All rights reserved.Contact Us