【药物名称】CMPD1, AXC-06728
化学结构式(Chemical Structure):
参考文献No.42973
标题:Non-peptide GnRH agent, methods and intermediates for their preparation
作者:Hong, Y.; Anderson, M.B.; Li, H.; Tompkins, E.V.; Luthin, D.R.; Faust, J.; Vazir, H.N.; Paderes, G.D.; Pathak, V.P.; Christie, L.C. (Agouron Pharmaceuticals, Inc.)
来源:EP 1105120; WO 0020358
合成路线图解说明:

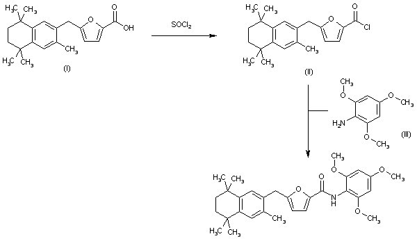
The reaction of 5-(3,5,5,8,8-pentamethyl-5,6,7,8-tetrahydronaphthalen-2-yl)furan-2-carboxylic acid (I) with SOCl2 gives the corresponding acyl chloride (II), which is then condensed with 2,4,6-trimethoxyaniline (III) to afford the target carboxamide.

Drug Information Express,Drug R&D,Chemical Database,Patent Search.
Copyright © 2006-2026 Drug Future. All rights reserved.Contact Us