【药物名称】
化学结构式(Chemical Structure):
参考文献No.49868
标题:1-(Aminophenyl)-2-pyrrolidones as integrin inhibitors
作者:Dominguez, C.; Chen, G.; Liu, L.; Liu, Q.; Han, N.; Xi, N.; Xu, S.; Huang, Q.; Siegmund, A.; Handley, M.; Kiselyov, A.S. (Amgen Inc.)
来源:EP 1240158; US 2002019402; WO 0144230
合成路线图解说明:

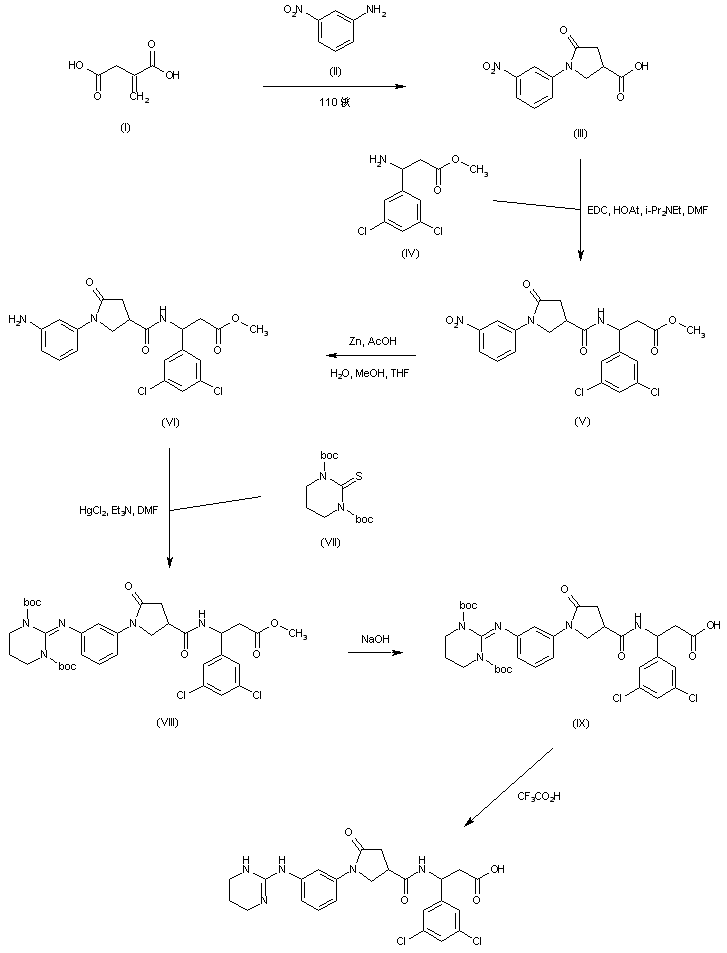
Cyclization of itaconic acid (I) with 3-nitroaniline (II) at 100 C gives rise to 1-(3-nitrophenyl)-5-oxopyrrolidine-3-carboxylic acid (III). Subsequent condensation of acid (III) with methyl 3-amino-3-(3,5-dichlorophenyl)propanoate (IV) in the presence of EDC and HOAt yields amide (V). Reduction of the nitro group of (V) to the corresponding amine (VI) is effected by means of Zn and HOAc. Amine (VI) is then condensed with the cyclic thiourea (VII) employing HgCl2 to furnish the di-Boc-protected guanidine (VIII). Saponification of the methyl ester function of (VIII) then gives acid (IX). The N-Boc groups of (IX) are finally removed by treatment with trifluoroacetic acid to furnish the title compound.

Drug Information Express,Drug R&D,Chemical Database,Patent Search.
Copyright © 2006-2026 Drug Future. All rights reserved.Contact Us