【药物名称】
化学结构式(Chemical Structure):
参考文献No.662937
标题:Fumaryl acetoacetate hydrolase inhibitors for the treatment of cancer
作者:Dumas, J.
来源:223rd ACS Natl Meet (April 7 2002, Orlando) 2002,Abst MEDI 218
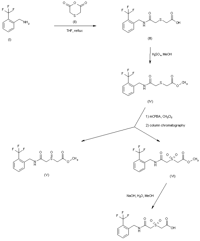
合成路线图解说明:

The condensation of 2-(trifluoromethyl)benzylamine (I) with thiodiglycolic anhydride (II) affords the mono-amide (III). Subsequent Fischer esterification of acid (III) with MeOH and H2SO4 gives rise to the amide-ester (IV). Oxidation of the sulfide group of (IV) by means of m-chloroperbenzoic acid produces a mixture of sulfoxide (V) and the analogous sulfone (VI), which are separated by column chromatography. Finally, the desired sulfone ester (VI) is hydrolyzed under basic conditions to the corresponding carboxylic acid.

Drug Information Express,Drug R&D,Chemical Database,Patent Search.
Copyright © 2006-2026 Drug Future. All rights reserved.Contact Us