【药物名称】BAY-57-1293
化学结构式(Chemical Structure):
参考文献No.50071
标题:Thiazolyl amide derivs.
作者:Fischer, R.; Bender, W.; Henninger, K.; Eckenberg, P.; Handke, G.; Keldenich, J.; Weber, O.; Kleymann, G.; Betz, U.; Hendrix, M.; Schneider, U.; Jensen, A.; Baumeister, J. (Bayer AG)
来源:DE 19962532; WO 0147904
合成路线图解说明:

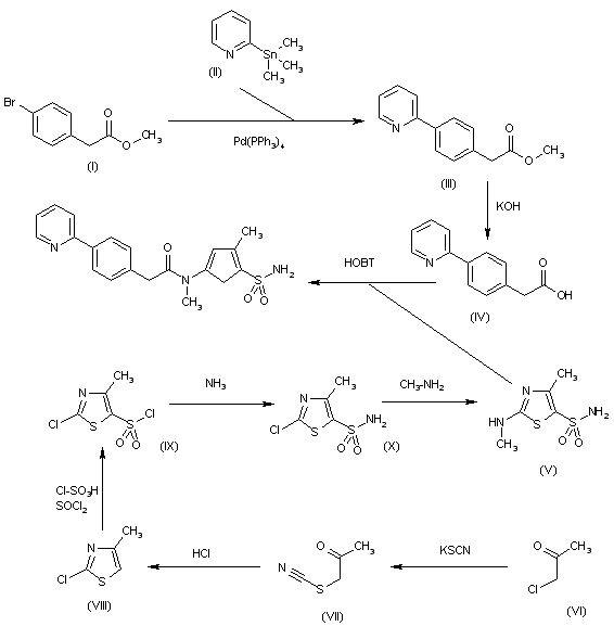
The condensation of 2-(4-bromophenyl)acetic acid methyl ester (I) with 2-(trimethylstannyl)pyridine (II) by means of Pd(PPh3)4 in refluxing toluene gives 2-[4-(2-pyridyl)phenyl]acetic acid methyl ester (III), which is hydrolyzed with KOH in THF/water to yield the corresponding acetic acid (IV). Finally, this compound is condensed with 4-methyl-2-(methylamino)thiazole-5-sulfonamide (V) by means of HOBt and DEC in DMF to afford the target phenylacetamide. The intermediate 4-methyl-2-(methylamino)thiazole-5-sulfonamide (V) is obtained as follows: the reaction of 1-chloroacetone (VI) with KSCN in water gives the corresponding thiocyanato (VII), which is cyclized by means of dry HCl in dichloromethane to yield 2-chloro-4-methylthiazole (VIII). The reaction of (VIII) with Cl-SO3H and SOCl2 affords the sulfonyl chloride (IX), which is treated with ammonia in THF/water to provide 2-chloro-4-methylthiazole-5-sulfonamide (X). Finally, this compound is treated with methylamine in acetonitrile to obtain the target sulfonamide intermediate (V).

参考文献No.54476
标题:Incompetitive inhibitors of helicase primase
作者:Fischer, R.; Bender, W.; Henninger, K.; Eckenberg, P.; Handke, G.; Keldenich, J.; Weber, O.; Kleymann, G.; Betz, U.; Hendrix, M.; Schneider, U.; Jensen, A.; Baumeister, J.; Hewlett, G.; Pevzner, V. (Bayer AG)
来源:DE 10044353; WO 0220014
合成路线图解说明:

The condensation of 2-(4-bromophenyl)acetic acid methyl ester (I) with 2-(trimethylstannyl)pyridine (II) by means of Pd(PPh3)4 in refluxing toluene gives 2-[4-(2-pyridyl)phenyl]acetic acid methyl ester (III), which is hydrolyzed with KOH in THF/water to yield the corresponding acetic acid (IV). Finally, this compound is condensed with 4-methyl-2-(methylamino)thiazole-5-sulfonamide (V) by means of HOBt and DEC in DMF to afford the target phenylacetamide. The intermediate 4-methyl-2-(methylamino)thiazole-5-sulfonamide (V) is obtained as follows: the reaction of 1-chloroacetone (VI) with KSCN in water gives the corresponding thiocyanato (VII), which is cyclized by means of dry HCl in dichloromethane to yield 2-chloro-4-methylthiazole (VIII). The reaction of (VIII) with Cl-SO3H and SOCl2 affords the sulfonyl chloride (IX), which is treated with ammonia in THF/water to provide 2-chloro-4-methylthiazole-5-sulfonamide (X). Finally, this compound is treated with methylamine in acetonitrile to obtain the target sulfonamide intermediate (V).

Drug Information Express,Drug R&D,Chemical Database,Patent Search.
Copyright © 2006-2026 Drug Future. All rights reserved.Contact Us