【药物名称】Adamantyl-SNO, NMI-1165
化学结构式(Chemical Structure):
参考文献No.662965
标题:Design and synthesis of nitrosylated paclitaxel (NO-paclitaxel) and adamantanyl nitric oxide donor as antirestenosis agents
作者:Lin, C.-E.; et al.
来源:223rd ACS Natl Meet (April 7 2002, Orlando) 2002,Abst MEDI 36
合成路线图解说明:

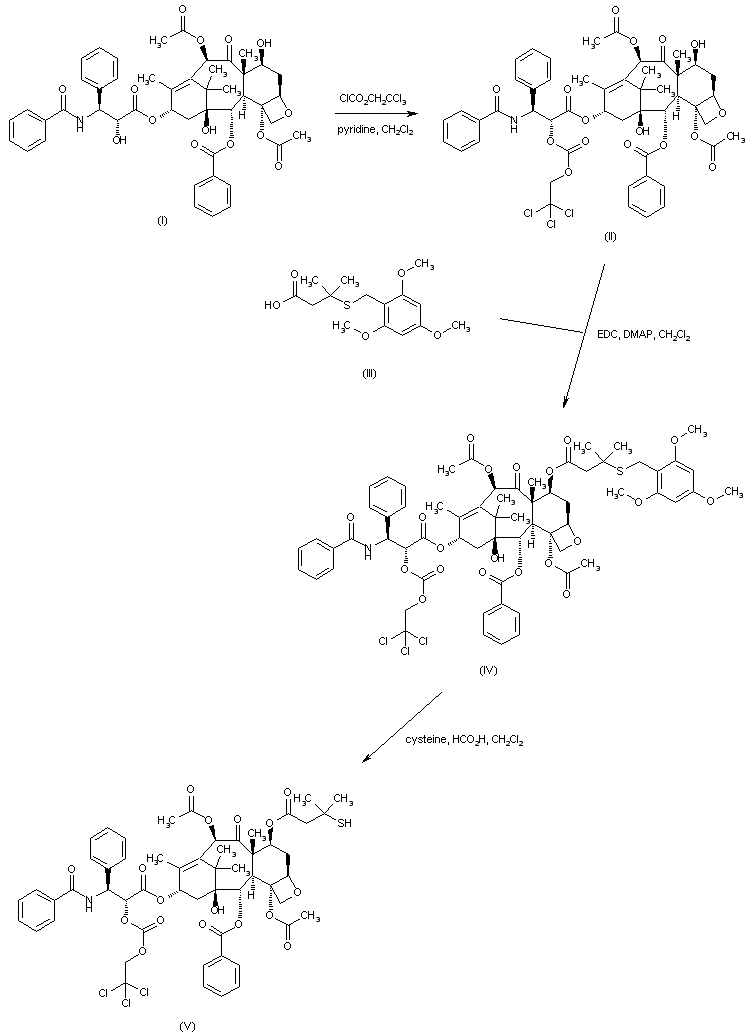
Paclitaxel (I) is selectively protected at the side-chain hydroxyl group with 2,2,2-trichloroethyl chloroformate in pyridine to afford the carbonate ester (II). Subsequent acylation of (II) with 3-methyl-3-[(2,4,6-trimethoxybenzyl)thio]butyric acid (III) provides ester (IV). Removal of the trimethoxybenzyl protecting group of (IV) by means of formic acid in the presence of L-cysteine gives rise to thiol (V).

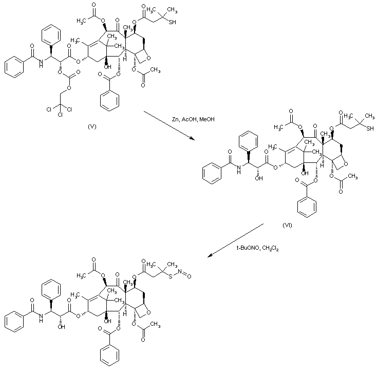
合成路线图解说明:

The trichloroethyl carbonate ester of (V) is then reductively cleaved using zinc dust and HOAc, to produce (VI). Finally, nitrosation of the thiol group of (VI) by means of t-butyl nitrite furnishes the target nitrosothio derivative.

合成路线图解说明:

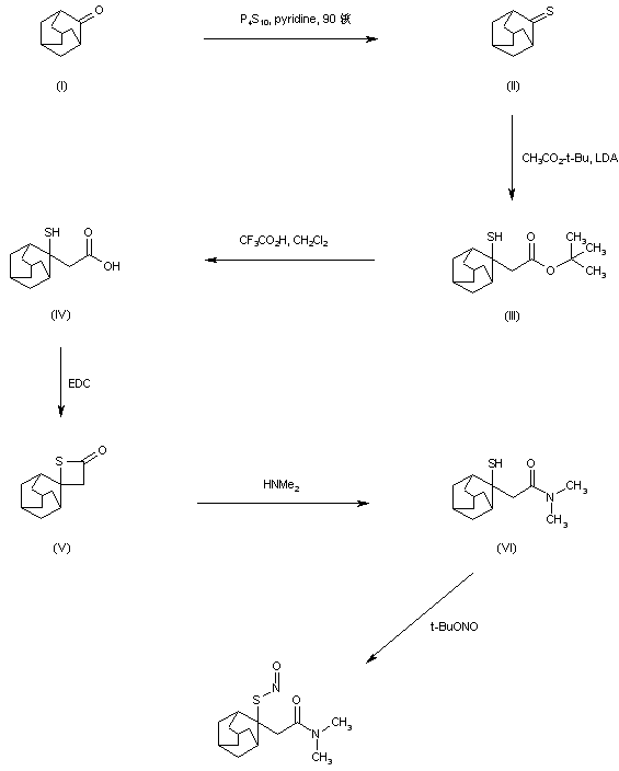
Thionation of 2-adamantanone (I) by means of P4S10 gives thioketone (II). Subsequent addition of tert-butyl acetate to thioadamantanone (II) furnishes the beta-mercapto ester (III). After acidic cleavage of the tert-butyl ester of (III), the resultant mercapto acid (IV) is cyclized to the thiolactone (V) by using EDC. Subsequent lactone ring opening in (V) with dimethylamine gives rise to amide (VI). Finally, the thiol group of (VI) is nitrosated with tert-butyl nitrite to provide the desired nitrosothio compound.

Drug Information Express,Drug R&D,Chemical Database,Patent Search.
Copyright © 2006-2026 Drug Future. All rights reserved.Contact Us