【药物名称】DB-51838
化学结构式(Chemical Structure):
参考文献No.41775
标题:Naphthalimidobenzamide derivs.
作者:Suzuki, K.; Yamada, Y.; Asao, T.; Noguchi, K.; Wakida, M. (Taiho Pharmaceutical Co., Ltd.)
来源:EP 1020446; US 6300331; WO 0001672
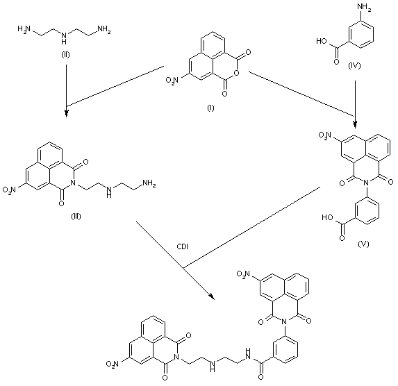
合成路线图解说明:

The reaction of 3-nitro-1,8-naphthalic anhydride (I) with diethylenetriamine (II) in cool ethanol gives the cyclic monoamide (III). The reaction of the 3-nitro-1,8-naphthalic anhydride (I) with 3-aminobenzoic acid (IV) in hot DMSO/pyridine gives the corresponding cyclic naphthalamide (V). Finally, the benzoic acid (V) is condensed with the amine group of (III) by means of CDI in DMSO to afford the target bis naphthalamide.

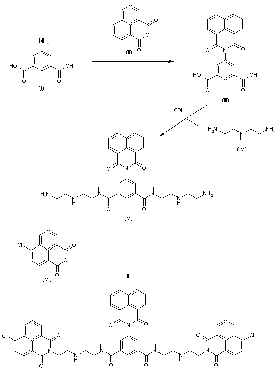
合成路线图解说明:

The reaction of 5-aminoisophthalic acid (I) with 1,8-naphthalic anhydride (II) in DMSO/pyridine gives the expected naphthalimide (III), which is condensed with diethylenetriamine (IV) by means of CDI in DMA to yield the isophthalamide (V). Finally, the free amino groups of (V) are condensed with 4-chloronaphthalic anhydride (VI) in pyridine/DMSO to afford the target tris naphthalimide.

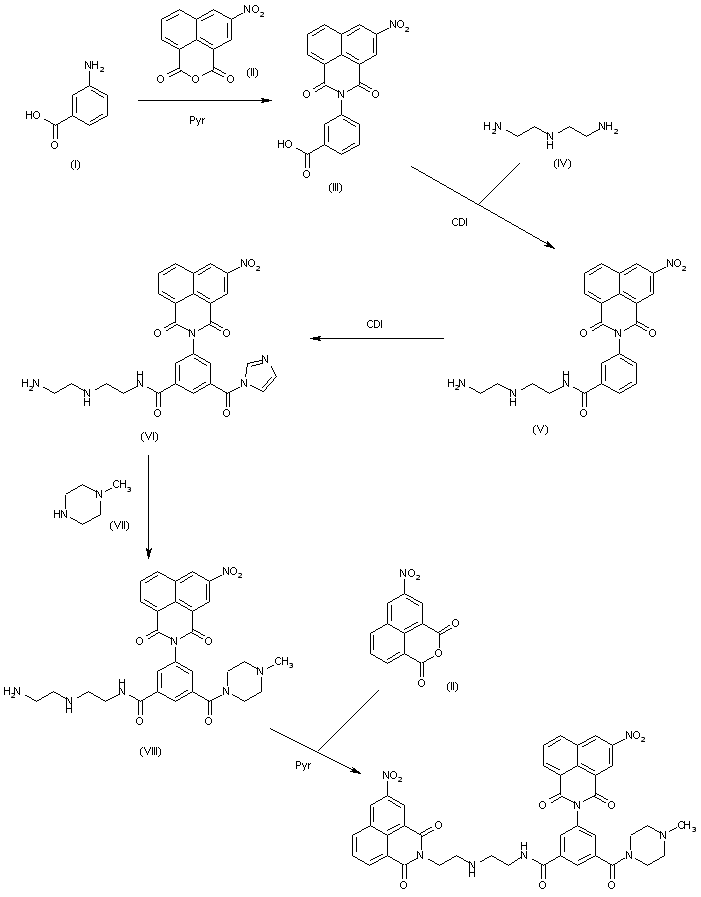
合成路线图解说明:

The condensation of 3-aminobenzoic acid (I) with 3-nitro-1,8-naphthalic anhydride (II) in hot DMSO/pyridine gives the corresponding cyclic naphthalmide (III), which is condensed with diethylenetriamine (IV) by means of CDI in DMF to yield the benzamide (V). The reaction of (V) with CDI in DMF affords the imidazolylcarbonyl derivative (VI), which is condensed with 1-methylpiperazine (VII) in THF to provide the piperazinocarbonyl compound (VIII). Finally, the amino group of (VIII) is condensed with 3-nitro-1,8-naphthalic anhydride (II) in DMSO/pyridine to give the target bis-cyclic imide.

Drug Information Express,Drug R&D,Chemical Database,Patent Search.
Copyright © 2006-2026 Drug Future. All rights reserved.Contact Us