【药物名称】PhTX-56
化学结构式(Chemical Structure):
参考文献No.54160
标题:Substd. polyamine cpds.
作者:Usherwood, P.N.R.; Andersen, K.; Stroemgaard, K.; Jaroszewski, J.W.; Korgsgaard-Larsen, P.; Mellor, I.R.; Egebjerg, J. (H. Lundbeck A/S)
来源:WO 0216314
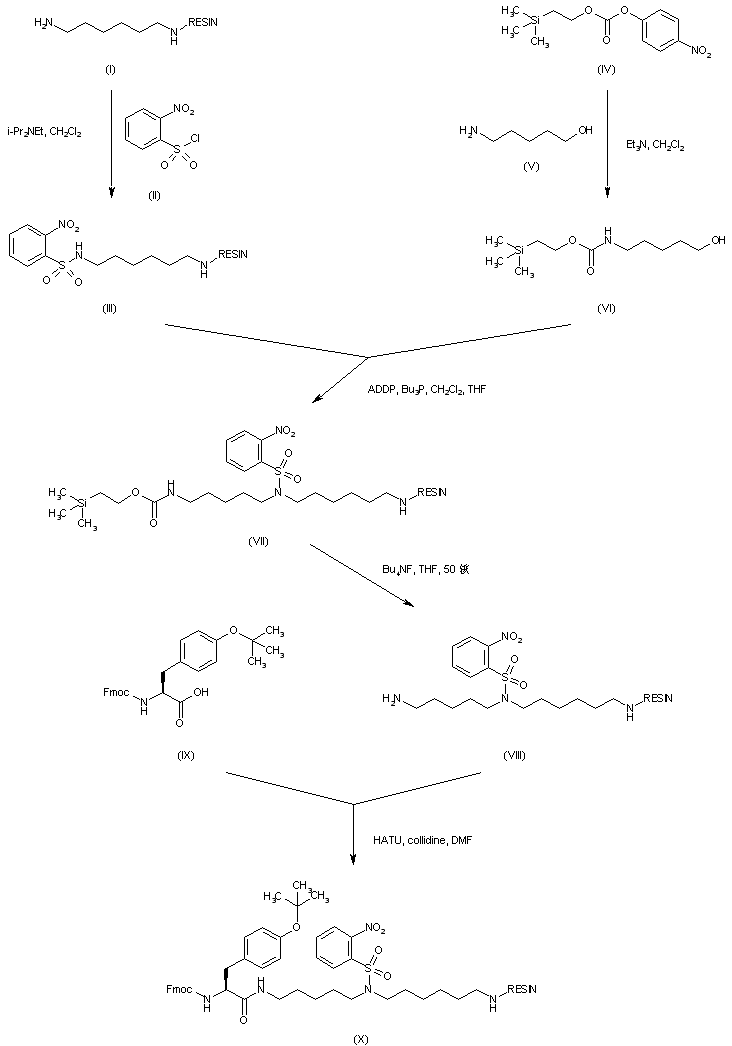
合成路线图解说明:

The trityl resin derivatized with 1,6-hexanediamine (I) is reacted with 2 nitrobenzenesulfonyl chloride (II) to give the resin-bound sulfonamide (III). Acylation of 5-amino-1-pentanol (V) with 2-(trimethylsilyl)ethyl 4-nitrophenyl carbonate (IV) affords the N-protected aminoalcohol (VI), which is subjected to Mitsunobu coupling with the sulfonamide resin (III) in the presence of 1,1' (azadicarbonyl)dipiperidine (ADDP) and tributylphosphine producing resin (VII). The N-Teoc protecting group of (VII) is selectively removed by means of tetrabutylammonium fluoride to give the amine resin (VIII), which is further coupled to N-Fmoc-O-t-butyl-L-tyrosine (IX) in the presence of HATU and collidine to furnish amide (X).

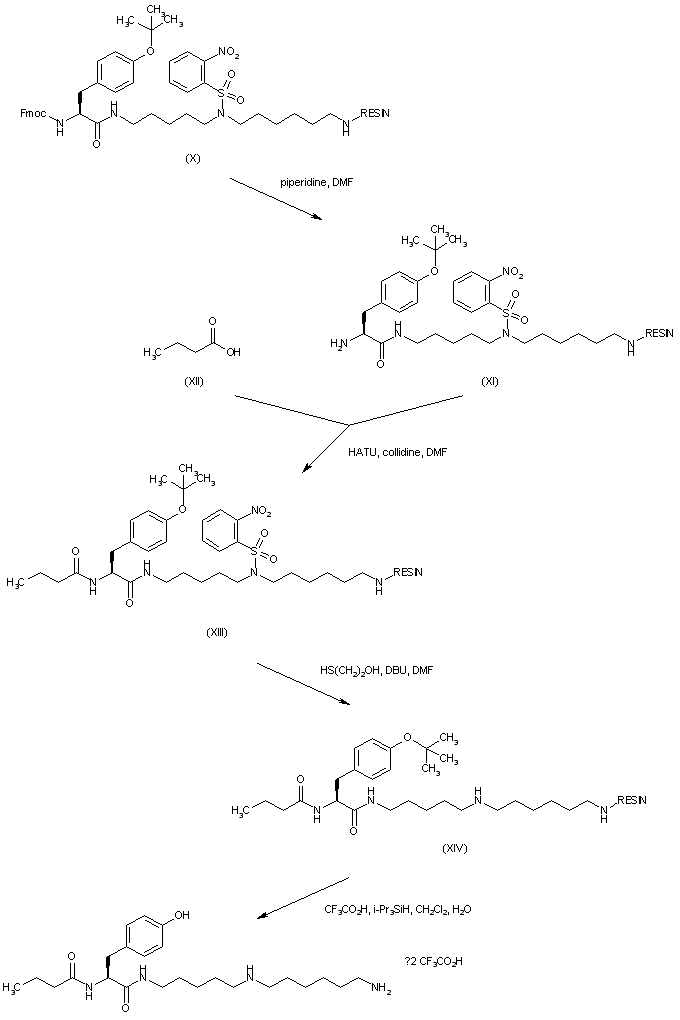
合成路线图解说明:

Selective removal of the N-Fmoc group from the fully protected resin (X) by treatment with piperidine in DMF leads to amine (XI), which is then acylated by butyric acid (XII) yielding the butyramide (XIII). The o-nitrobenzenesulfonyl group in (XIII) is then removed with mercaptoethanol and DBU to afford (XIV). Finally, cleavage from the resin and removal of the O-tert-butyl protecting group of (XIV) by means of trifluoroacetic acid and triisopropylsilane provides the title compound.

参考文献No.709986
标题:Solid-phase synthesis of polyamine toxin analogues: Potent and selective antagonists of Ca2+-permeable AMPA receptors
作者:Kromann, H.; Krikstolaityte, S.; Andersen, A.J.; Andersen, K.; Krogsgaard-Larsen, P.; Jaroszewski, J.W.; Egebjerg, J.; Stromgaard, K.
来源:J Med Chem 2002,45(26),5745
合成路线图解说明:

The trityl resin derivatized with 1,6-hexanediamine (I) is reacted with 2 nitrobenzenesulfonyl chloride (II) to give the resin-bound sulfonamide (III). Acylation of 5-amino-1-pentanol (V) with 2-(trimethylsilyl)ethyl 4-nitrophenyl carbonate (IV) affords the N-protected aminoalcohol (VI), which is subjected to Mitsunobu coupling with the sulfonamide resin (III) in the presence of 1,1' (azadicarbonyl)dipiperidine (ADDP) and tributylphosphine producing resin (VII). The N-Teoc protecting group of (VII) is selectively removed by means of tetrabutylammonium fluoride to give the amine resin (VIII), which is further coupled to N-Fmoc-O-t-butyl-L-tyrosine (IX) in the presence of HATU and collidine to furnish amide (X).

合成路线图解说明:

Selective removal of the N-Fmoc group from the fully protected resin (X) by treatment with piperidine in DMF leads to amine (XI), which is then acylated by butyric acid (XII) yielding the butyramide (XIII). The o-nitrobenzenesulfonyl group in (XIII) is then removed with mercaptoethanol and DBU to afford (XIV). Finally, cleavage from the resin and removal of the O-tert-butyl protecting group of (XIV) by means of trifluoroacetic acid and triisopropylsilane provides the title compound.

Drug Information Express,Drug R&D,Chemical Database,Patent Search.
Copyright © 2006-2026 Drug Future. All rights reserved.Contact Us