【药物名称】GU-285
化学结构式(Chemical Structure):
参考文献No.663884
标题:1-Phenylpyrazolo[3,4-d]pyrimidines; structure-activity relationships for C6 substituents at A1 and A2A adenosine receptors
作者:Chebib, M.; McKeveney, D.; Quinn, R.J.
来源:Bioorg Med Chem 2000,8(11),2581
合成路线图解说明:

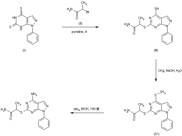
Monoalkylation of 1-phenylpyrazolo[3,4-d]pyrimidine-4,6-dithione (I) with 2-bromopropionamide (II) produced selectively the 6-substituted compound (III). Subsequent methylation of the free 4-mercapto group yielded the 4-methylsulfanyl derivative (IV). Finally, displacement of the methylsulfanyl group of (IV) with ethanolic ammonia in a sealed tube at 100 C furnished the title amino compound.

参考文献No.664469
标题:Mono-alpha-carbamoylethylthio-substituted pyrazolo[3,4-d]pyrimidines: The position of substitution
作者:Quinn, R.J.; et al.
来源:Aust J Chem 1991,44(5),753
合成路线图解说明:

Monoalkylation of 1-phenylpyrazolo[3,4-d]pyrimidine-4,6-dithione (I) with 2-bromopropionamide (II) produced selectively the 6-substituted compound (III). Subsequent methylation of the free 4-mercapto group yielded the 4-methylsulfanyl derivative (IV). Finally, displacement of the methylsulfanyl group of (IV) with ethanolic ammonia in a sealed tube at 100 C furnished the title amino compound.

Drug Information Express,Drug R&D,Chemical Database,Patent Search.
Copyright © 2006-2026 Drug Future. All rights reserved.Contact Us