【药物名称】
化学结构式(Chemical Structure):
参考文献No.662966
标题:Structurally novel V2-selective and dual V1A/V2 vasopressin receptor antagonists
作者:Dyatkin, A.B.; Demarest, K.; Look, R.; Maryanoff, B.E.; Hoekstra, W.J.; Gunnet, J.; Andrade-Gordon, P.; DeGaravilla, L.; Hlasta, D.J.
来源:223rd ACS Natl Meet (April 7 2002, Orlando) 2002,Abst MEDI 35
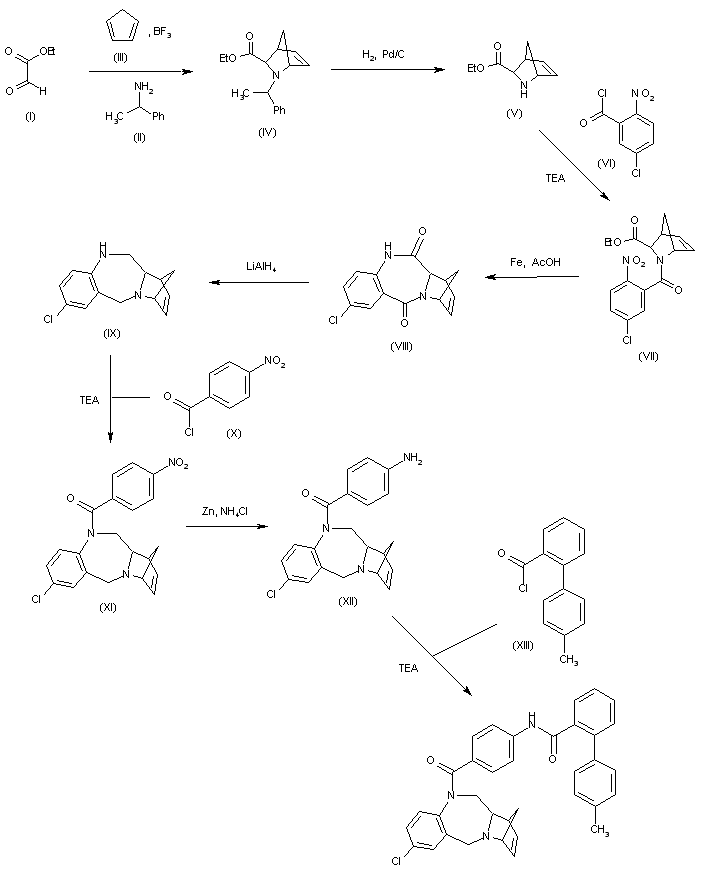
合成路线图解说明:

The cyclization of 2-oxoacetic acid ethyl ester (I), 1-phenylethylamine (II) and cyclopentadiene (III) by means of BF3 and TFA in dichloromethane gives the 2-azabicyclo[2.2.1]heptene (IV), which is debenzylated with H2 over Pd/C in ethanol to yield 2-azabicyclo[2.2.1]hept-5-ene-3-carboxylic acid ethyl ester (V) The acylation of (V) with 5-chloro-2-nitrobenzoyl chloride (VI) and TEA in dichloromethane affords the bicyclic amide (VII), which is submitted to a reductive cyclization with Fe in refluxing acetic acid to afford the polycyclic benzodiazepinedione (VIII). The reduction of the carbonyl groups of (VIII) by means of LiAlH4 in THF provides the benzodiazepine (IX), which is acylated with 4-nitrobenzoyl chloride (X) and TEA in dichloromethane to give the polycyclic amide (XI). The reduction of the nitro group of (XI) with Zn and NH4Cl in refluxing methanol yields the corresponding amino derivative (XII), which is finally acylated with 4'-methylbiphenyl-2-carbonyl chloride (XIII) and TEA in dichloromethane to furnish the target polycyclic benzodiazepine.

Drug Information Express,Drug R&D,Chemical Database,Patent Search.
Copyright © 2006-2026 Drug Future. All rights reserved.Contact Us