【药物名称】
化学结构式(Chemical Structure):
参考文献No.662960
标题:Design and synthesis of novel dual histamine H1/H3 receptor antagonists based on the H1 receptor antagonist chlorpheniramine
作者:Tom, W.; Aslanian, R.; West, R.; Shih, N.-Y.; Piwinski, J.J.; She, S.; Williams, S.M.
来源:223rd ACS Natl Meet (April 7 2002, Orlando) 2002,Abst MEDI 63
合成路线图解说明:

The unsaturated nitrile (III) is prepared by Wittig reaction of 2-(4-chlorobenzoyl)pyridine (I) with phosphorane (II). Subsequent reduction of (III) with NaBH4 in boiling isopropanol provides the saturated nitrile (IV). The cyano group of (IV) is then reduced to amine (V) employing LiAlH4 in refluxing Et2O.

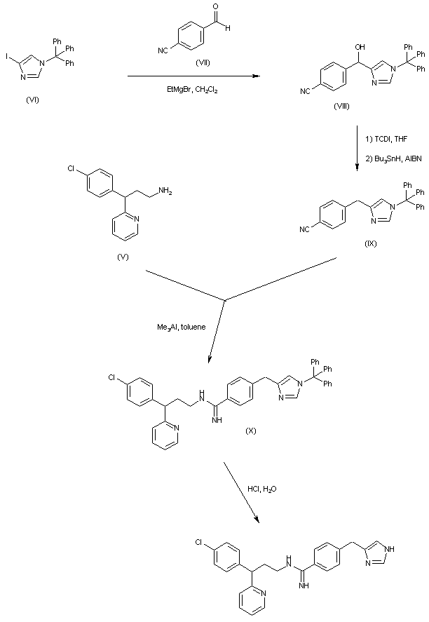
合成路线图解说明:

Metalation of 1-trityl-4-iodoimidazole (VI) with ethylmagnesium bromide, followed by addition to 4-cyanobenzaldehyde (VII) gives rise to the carbinol (VIII), which is further reduced to the diaryl methane (IX) employing triibutyltin hydride in the presence of AIBN. Trimethylaluminium-catalyzed coupling between nitrile (IX) and amine (V) provides amidine (X). The N-trityl group of (X) is finally removed under acidic conditions to furnish the title compound.

Drug Information Express,Drug R&D,Chemical Database,Patent Search.
Copyright © 2006-2026 Drug Future. All rights reserved.Contact Us