【药物名称】LY-487355
化学结构式(Chemical Structure):
参考文献No.54910
标题:Methods and cpds. for inhibiting MRP1
作者:Jungheim, L.N.; Kroin, J.S.; Bonjouklian, R.; Thrasher, K.J.; Norman, B.H.; Muehl, B.S.; Patel, V.F.; Richett, M.E.; Gruber, J.M.; Lin, H.-S.; Cohen, J.D.; Wang, Q.; Xie, Y.; Johnson, D.W.; Lander, P.A.; Lohman, M.C.; et al. (Eli Lilly and Company)
来源:EP 1250340; WO 0146199
合成路线图解说明:

The protected diamine precursor (VIII) was prepared starting from the known (R) dibenzyl (3-oxocyclohexyl)malonate (I). Stereoselective keto group reduction using L-selectride in cold THF provided the trans (hydroxycyclohexyl)malonate (II). Decarboxylation of malonate (II) in the presence of LiCl in moist DMSO at 165 C furnished the cyclohexylacetate (III). The cis-azide (IV) was then prepared by Mitsunobu coupling of alcohol (III) with hydrazoic acid. Hydrogenation of azide (IV) in the presence of Lindlar's catalyst and Boc2O gave rise to the Boc-protected amine (V). Acid (VI), prepared by saponification of benzyl ester (V), was subjected to Curtius rearrangement in the presence of diphenylphosphoryl azide and benzyl alcohol to afford the benzyl carbamate (VII). The Boc group was then removed with trifluoroacetic acid producing amine (VIII).

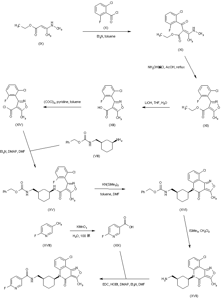
合成路线图解说明:

Acylation of ethyl 3-(methylamino)crotonate (IX) with 2-chloro-6-fluorobenzoyl chloride (X) provided the enamino ketoester (XI), which was cyclized to the isoxazole derivative (XII) upon treatment with hydroxylamine. Hydrolysis of ethyl ester (XII), followed by chlorination of the resultant acid (XIII), furnished acid chloride (XIV). This was condensed with amine (VIII) affording amide (XV). The isoxazoloquinoline derivative (XVI) was then obtained by cyclization of fluoro amide (XV) in the presence of potassium bis(trimethylsilyl)amide. Removal of the N-Cbz group of (XVI) using iodotrimethylsilane in CH2Cl2 yielded amine (XVII). 6-Fluoronicotinic acid (XIX) was prepared by permanganate oxidation of 2-fluoro-6-methylpyridine (XVIII). Finally, amine (XVII) was coupled with 6-fluoronicotinic acid (XIX) by means of EDC to furnish the title compound.

Drug Information Express,Drug R&D,Chemical Database,Patent Search.
Copyright © 2006-2026 Drug Future. All rights reserved.Contact Us