【药物名称】BH-1625(NOMe)TB-2
化学结构式(Chemical Structure):
参考文献No.661649
标题:Conceptually new low-calcemic oxime analogues of the hormone 1alpha,25-dihydroxyvitamin D3: Synthesis and biological testing
作者:Posner, G.H.; Halford, B.A.; Peleg, S.; Dolan, P.; Kensler, T.W.
来源:J Med Chem 2002,45(8),1723
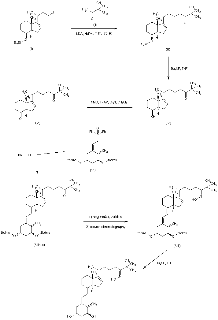
合成路线图解说明:

Alkylation of the lithium enolate of pinacolone (II) with alkyl iodide (I) affords ketone (III). After desilylation of (III) by means of tetrabutylammonium fluoride, the resultant alcohol (IV) is oxidized to the corresponding ketone (V) employing N-methylmorpholine-N-oxide in the presence of a catalytic amount of tetrapropylammonium perruthenate. Wadsworth-Emmons condensation of ketone (V) with the racemic phosphine oxide (VI) provides a diastereomeric mixture of diene adducts (VII). After conversion of (VII) to the corresponding oxime, the desired isomer (VIII) is isolated by column chromatography. Finally, desilylation of (VIII) by means of tetrabutylammonium fluoride provides the title compound.

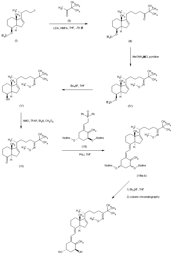
合成路线图解说明:

Alkylation of the lithium enolate of pinacolone (II) with alkyl iodide (I) affords ketone (III), which is then condensed with O-methyl hydroxylamine to produce oxime (IV). After desilylation of (IV) by means of tetrabutylammonium fluoride, the resultant alcohol (V) is oxidized to the corresponding ketone (VI), employing N-methylmorpholine-N-oxide in the presence of a catalytic amount of tetrapropylammonium perruthenate. Wadsworth-Emmons condensation of ketone (VI) with the racemic phosphine oxide (VII) provides a diastereomeric mixture of diene adducts (VIII). After desilylation of (VIII) by means of tetrabutylammonium fluoride, the resultant mixture of diol isomers is separated by column chromatography to furnish the title compound.

Drug Information Express,Drug R&D,Chemical Database,Patent Search.
Copyright © 2006-2026 Drug Future. All rights reserved.Contact Us