【药物名称】
化学结构式(Chemical Structure):
参考文献No.661647
标题:Synthesis and in vitro antitumor activity of new deaza analogues of the nonpolyglutamatable antifolate Nalpha-(4-amino-4-deoxypteroyl)-Nalpha-hemiphtaloyl-L-ornithine (PT523)
作者:Vaidya, C.M.; Wright, J.E.; Rosowsky, A.
来源:J Med Chem 2002,45(8),1690
合成路线图解说明:

Palladium-catalyzed coupling of 2,4-diamino-6-iodoquinazoline (I) with trimethylsilyl acetylene (II) affords the silylethynyl quinazoline (III). Subsequent treatment of (III) with tetrabutylammonium fluoride leads to the desilylated acetylene compound (IV).

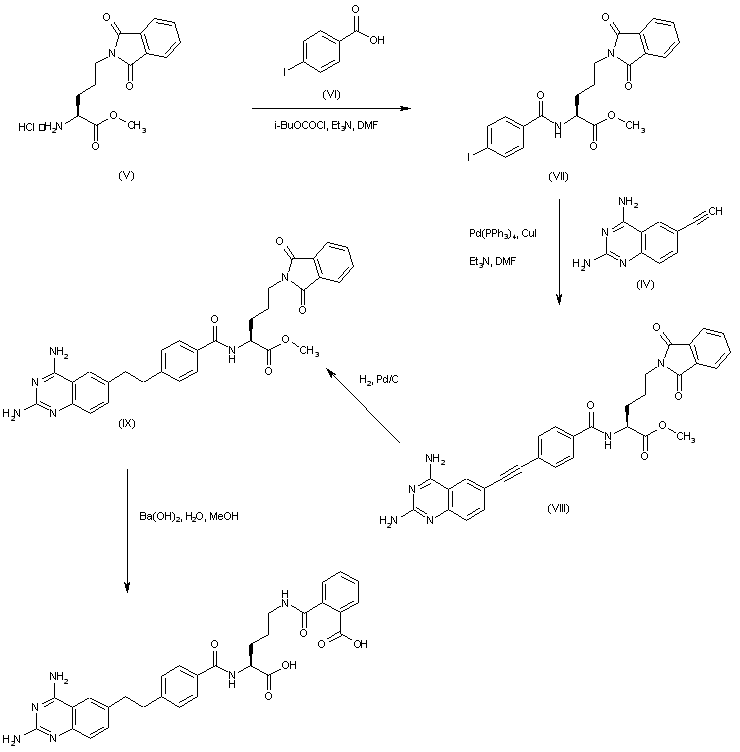
合成路线图解说明:

Condensation between phthaloyl ornithine methyl ester (V) and 4-iodobenzoic acid (VI), via activation with isobutyl chloroformate, furnishes the iodobenzamide (VII). Subsequent coupling of iodo amide (VII) with the ethynyl quinazoline (IV) employing Pd(PPh3)4 and CuI leads to the disubstituted acetylene (VIII). Catalytic hydrogenation of the triple bond in the presence of Pd/C affords (IX). Then, basic hydrolysis of phthalimido ester (IX) by means of Ba(OH)2 produces the target compound.

Drug Information Express,Drug R&D,Chemical Database,Patent Search.
Copyright © 2006-2026 Drug Future. All rights reserved.Contact Us